🇳🇴 🇬🇧 🇩🇪 🇨🇿 🇫🇮

Meteor over Alvdal 2025-11-14 18:36:44 UTC

KML-fil  |  Interaktivt kart

Kartet viser peilingene for meteoren. De lysere linjene viser retningene fra observasjonsstedene for meteorens tilsynekomst, og de mørkere linjene viser hvor den sist kunne sees. Den blå pila viser meteorens synlige ferd.

static map
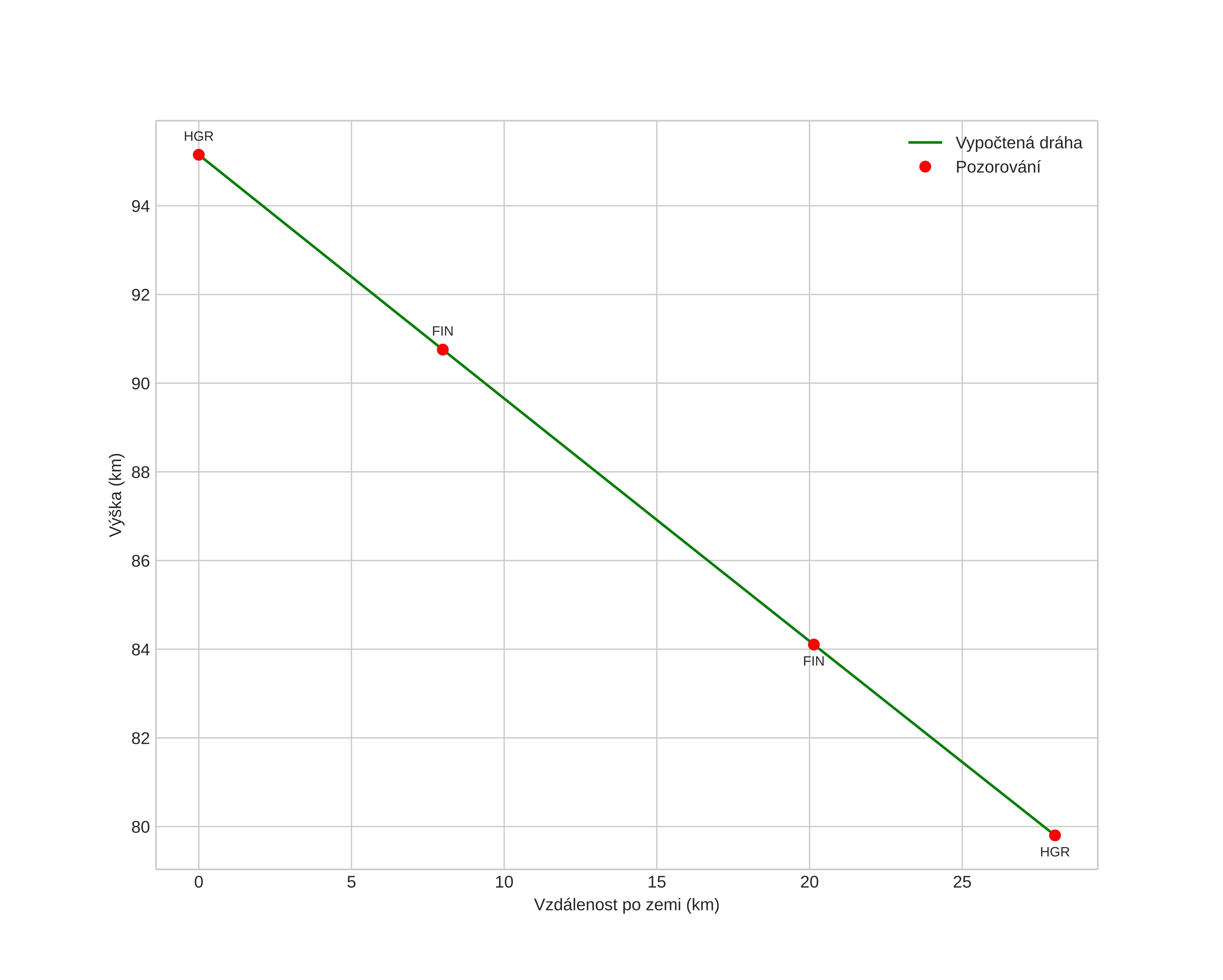
height profile
Meteorens atmosfæriske bane:
Starthøgde: 95,7 km
Slutthøgde: 79,7 km
Startposisjon: 61,905N 10,992E
Sluttposisjon: 61,906N 10,440E
Retning: 270,4°
Fallvinkel: 29,0°
Inngangshastighet: 31,9 km/s
Radiantens rektascensjon: 03:59 (60,0°)
Radiantens deklinasjon: 23,3°
Meteorsverm: Nordlige tauridene
Meteoroidens baneelement:
Perihelavstand: 0,363 AU
Eksentrisitet: 0,876
Inklinasjon: 3,2°
Knutelengde: 232,2°
Perihelargument: 290,9°
Midlere anomali: 352,0°
Epoke: 2025 NOV 14 18:36:44
orbit plot

Ikke-interaktivt plott | Interaktivt plott

position vs time
speed and acceleration

Finnskogen (FIN) cam5


gnomonic
Videoer
• Gnomonisk
• Gnomonisk med koordinater
• Original
• Original med koordinater
Bilder
• Gnomonisk
• Gnomonisk med koordinater
• Original
• Original med koordinater
Tekstfiler
• Deteksjon
• Observasjon
• Koordinater
• Logg
Lysstyrke

Hagar (HGR) cam2


gnomonic
Videoer
• Gnomonisk
• Gnomonisk med koordinater
• Original
• Original med koordinater
Bilder
• Gnomonisk
• Gnomonisk med koordinater
• Original
• Original med koordinater
Tekstfiler
• Deteksjon
• Observasjon
• Koordinater
• Logg
Lysstyrke