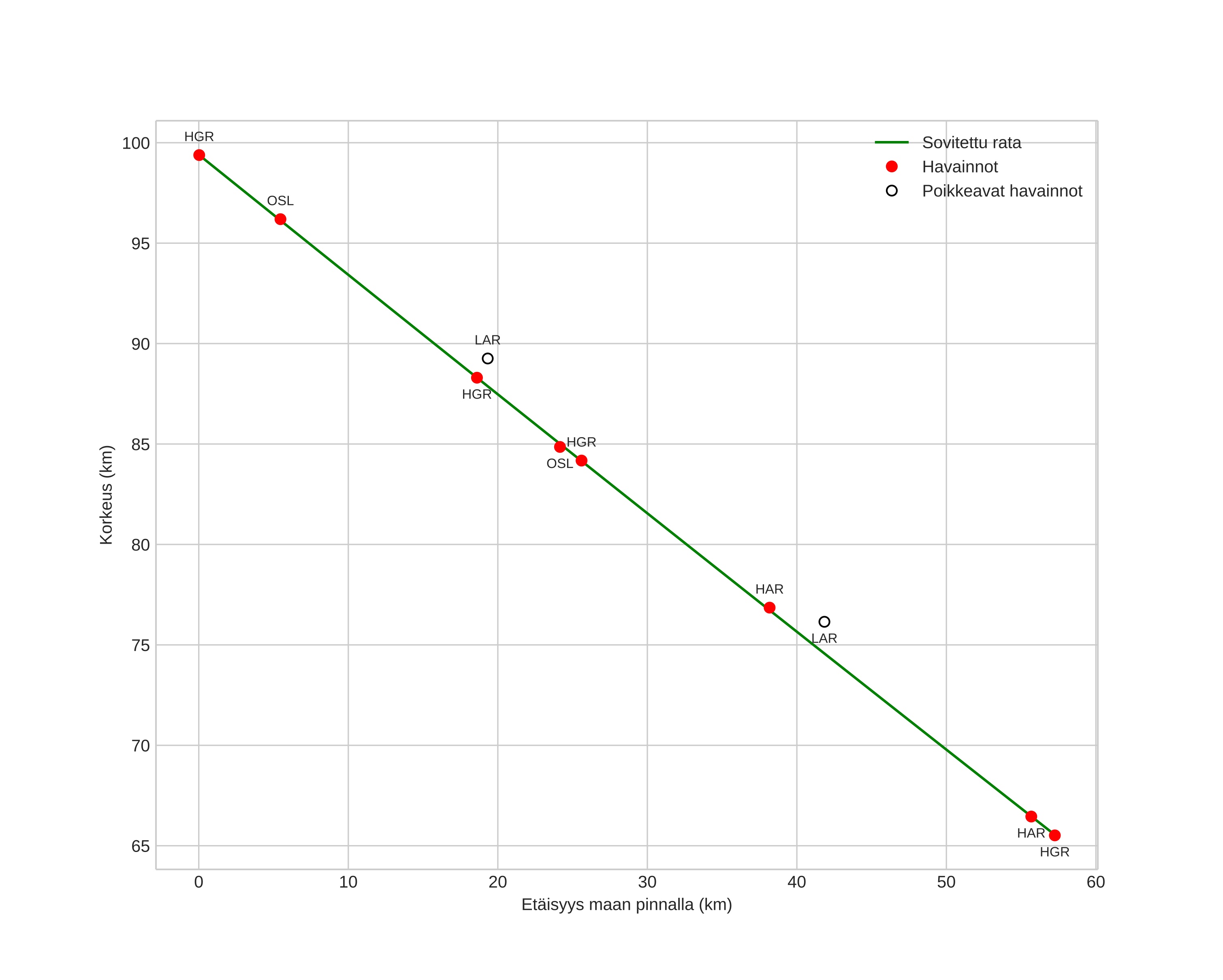
Atmosférická dráha meteoru:
| Počátečnà výška: | 99,4 km |
| Konečná výška: | 68,6 km |
| Počátečnà poloha: | 60,522N 12,403E |
| Konečná poloha: | 60,690N 11,446E |
| Směr: | 290,1° |
| Sklon: | 29,0° |
| VstupnĂ rychlost: | 29,6 km/s |
| Rektascenze radiantu: | 03:55 (59,0°) |
| Deklinace radiantu: | 13,6° |
| MeteorickĂ˝ roj: | JiĹľnĂ Tauridy |
|
Elementy dráhy meteoroidu:
| Vzdálenost v periheliu: | 0,432 AU |
| Excentricita: | 0,837 |
| Sklon dráhy: | 6,7° |
| Délka vzestupného uzlu: | 52,4° |
| Argument perihelia: | 103,7° |
| Střednà anomálie: | 350,3° |
| Epocha: | 2025 NOV 14 19:33:07 |
|