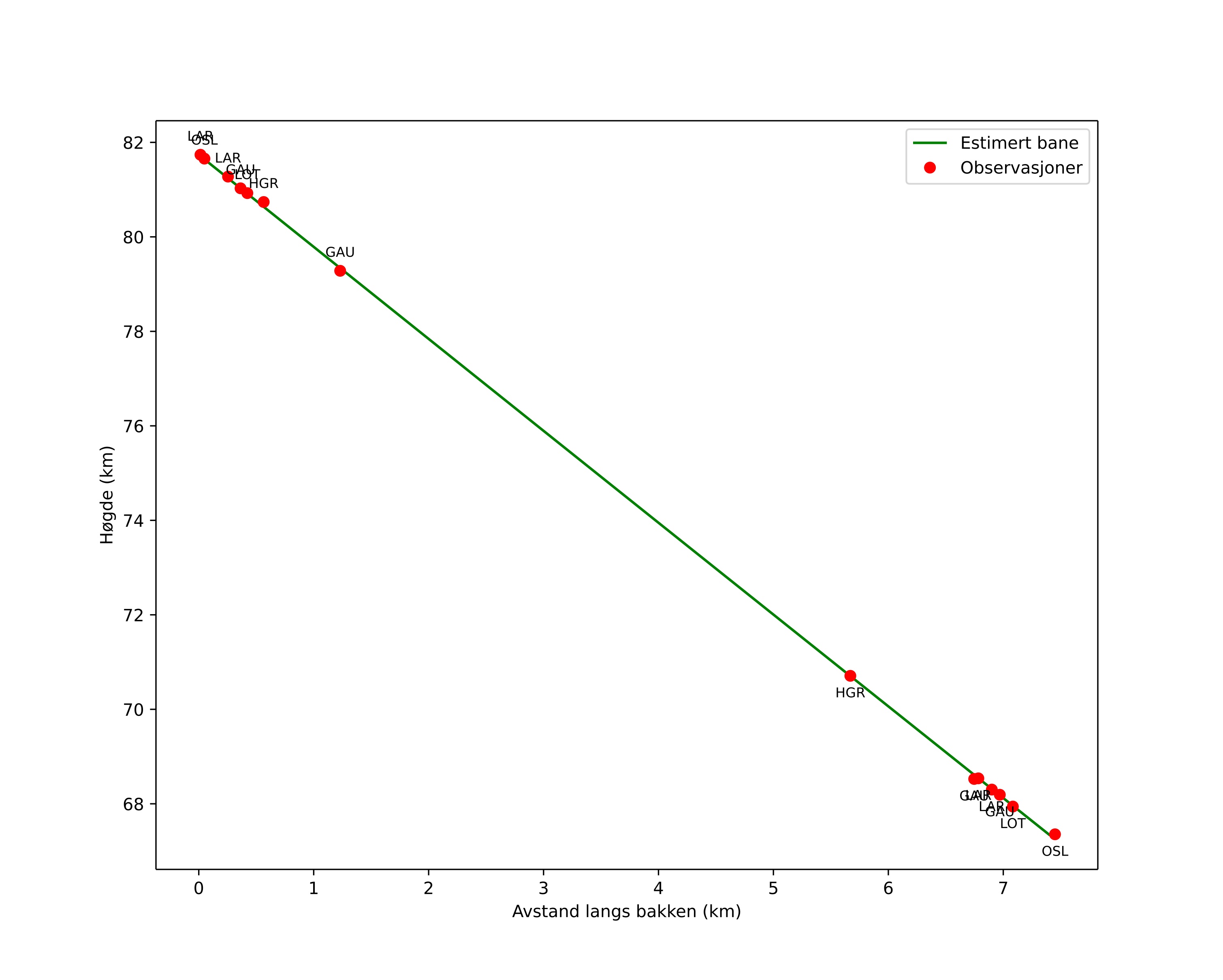
Atmosférická dráha meteoru:
| Počátečnà výška: | 81,8 km |
| Konečná výška: | 67,4 km |
| Počátečnà poloha: | 59,782N 10,835E |
| Konečná poloha: | 59,842N 10,887E |
| Směr: | 23,5° |
| Sklon: | 63,0° |
| VstupnĂ rychlost: | 21,7 km/s |
| Rektascenze radiantu: | 02:10 (32,7°) |
| Deklinace radiantu: | 31,7° |
| MeteorickĂ˝ roj: | sporadickĂ˝ |
|
Elementy dráhy meteoroidu:
| Vzdálenost v periheliu: | 0,735 AU |
| Excentricita: | 0,736 |
| Sklon dráhy: | 9,5° |
| Délka vzestupného uzlu: | 232,4° |
| Argument perihelia: | 246,8° |
| Střednà anomálie: | 351,5° |
| Epocha: | 2025 NOV 14 22:47:43 |
|