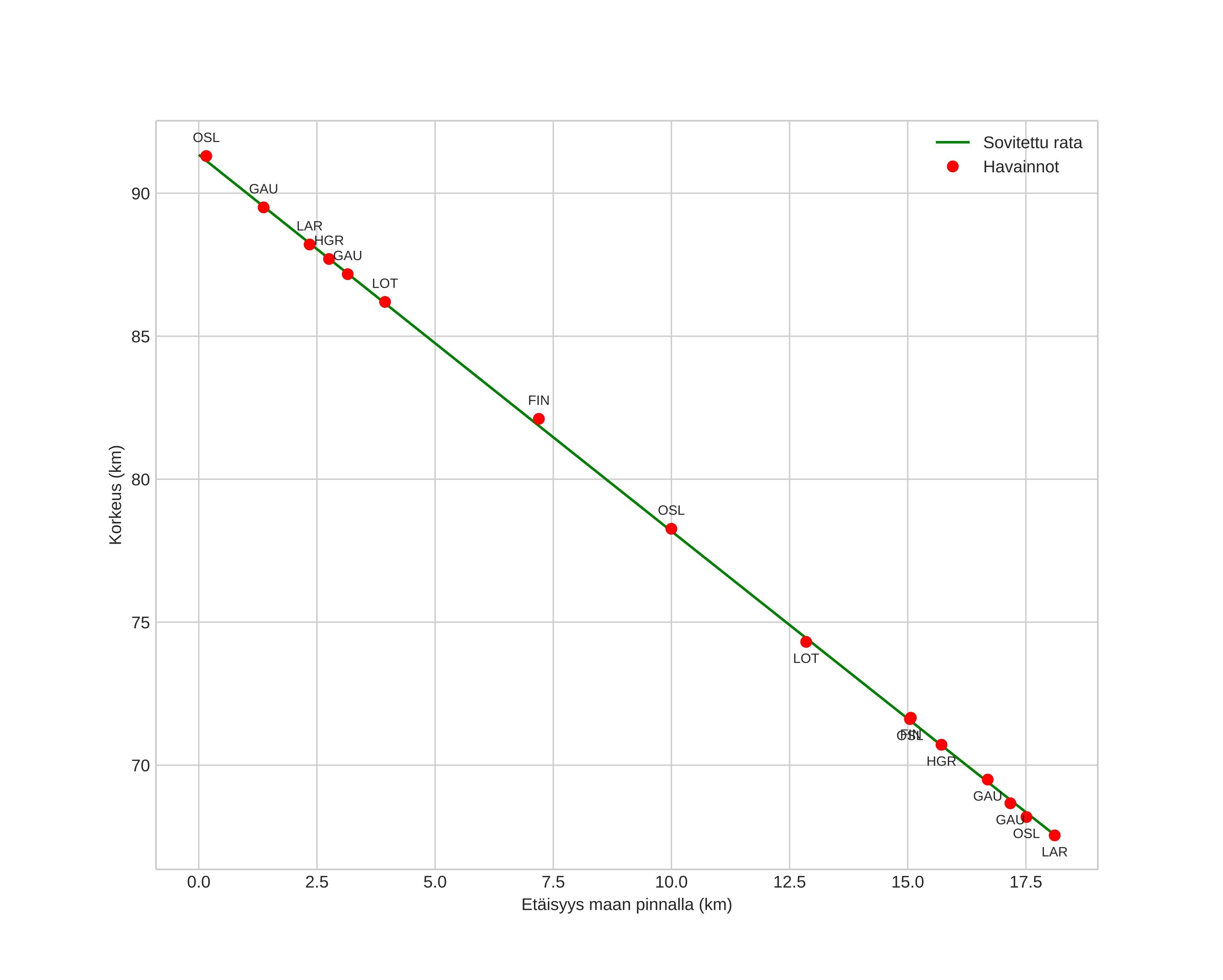
Atmosférická dráha meteoru:
| Počátečnà výška: | 91,5 km |
| Konečná výška: | 67,5 km |
| Počátečnà poloha: | 59,724N 10,292E |
| Konečná poloha: | 59,586N 10,474E |
| Směr: | 146,3° |
| Sklon: | 52,4° |
| VstupnĂ rychlost: | 22,7 km/s |
| Rektascenze radiantu: | 20:20 (305,2°) |
| Deklinace radiantu: | 67,8° |
| MeteorickĂ˝ roj: | sporadickĂ˝ |
|
Elementy dráhy meteoroidu:
| Vzdálenost v periheliu: | 0,972 AU |
| Excentricita: | 0,625 |
| Sklon dráhy: | 30,8° |
| Délka vzestupného uzlu: | 232,5° |
| Argument perihelia: | 197,1° |
| Střednà anomálie: | 356,9° |
| Epocha: | 2025 NOV 14 22:50:43 |
|