🇳🇴 🇬🇧 🇩🇪 🇨🇿 🇫🇮

Meteor, poloha: Sand 2025-11-14 23:58:47 UTC

Soubor KML  |  Interaktivní mapa

Mapa zobrazuje dráhy meteoru. Světlejší čáry ukazují směry od pozorovacích stanic při objevení se meteoru a tmavší čáry, kde byl naposledy viděn. Modrá šipka značí viditelnou dráhu meteoru.

static map
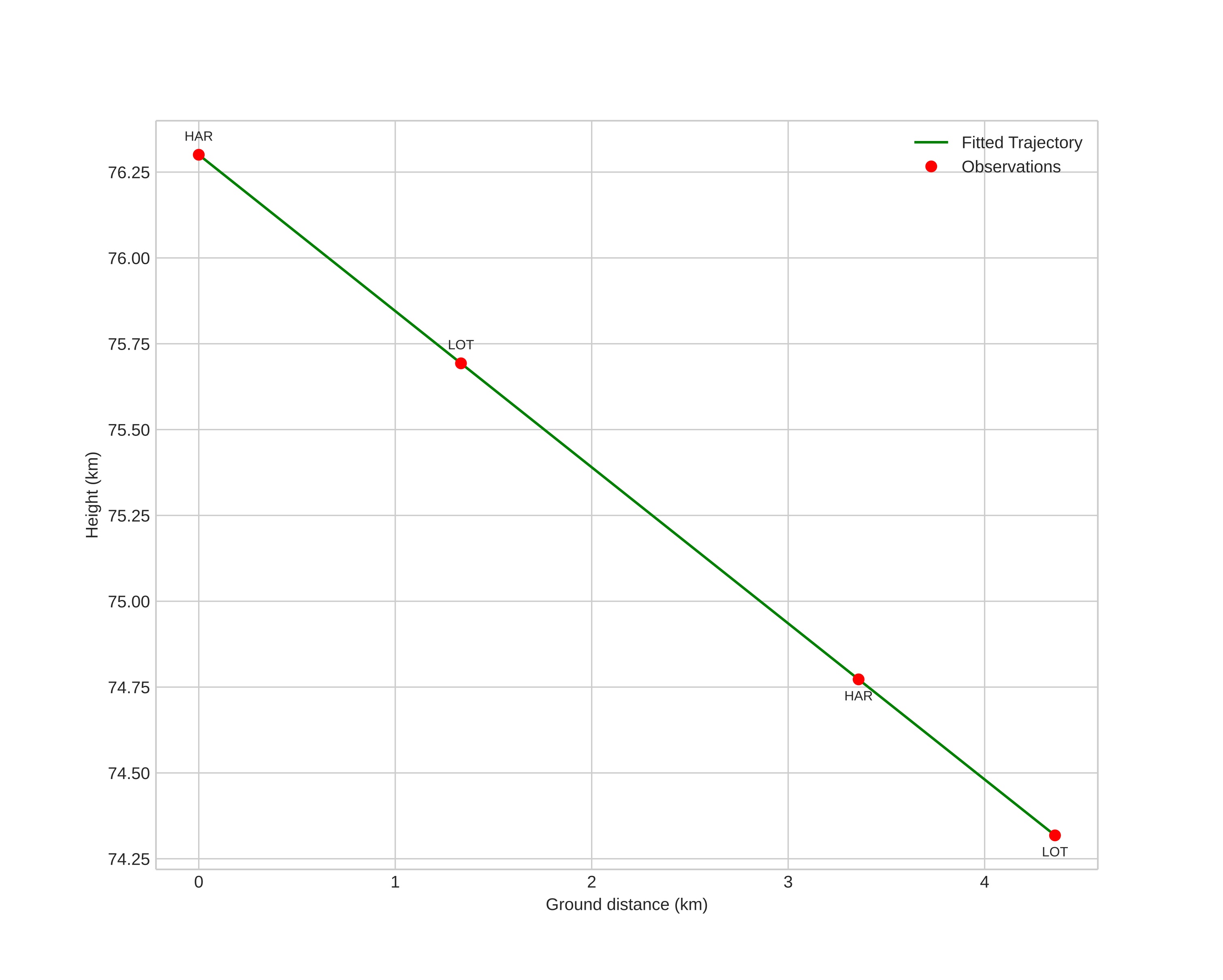
height profile
wind profile
Atmosférická dráha meteoru:
Počáteční výška: 76,3 km
Konečná výška: 74,1 km
Počáteční poloha: 60,566N 11,457E
Konečná poloha: 60,575N 11,541E
Směr: 78,6°
Sklon: 25,0°
position vs time
speed and acceleration