🇳🇴 🇬🇧 🇩🇪 🇨🇿 🇫🇮

Meteor, poloha: Koppang 2025-11-15 02:17:12 UTC

Soubor KML  |  Interaktivní mapa

Mapa zobrazuje dráhy meteoru. Světlejší čáry ukazují směry od pozorovacích stanic při objevení se meteoru a tmavší čáry, kde byl naposledy viděn. Modrá šipka značí viditelnou dráhu meteoru.

static map
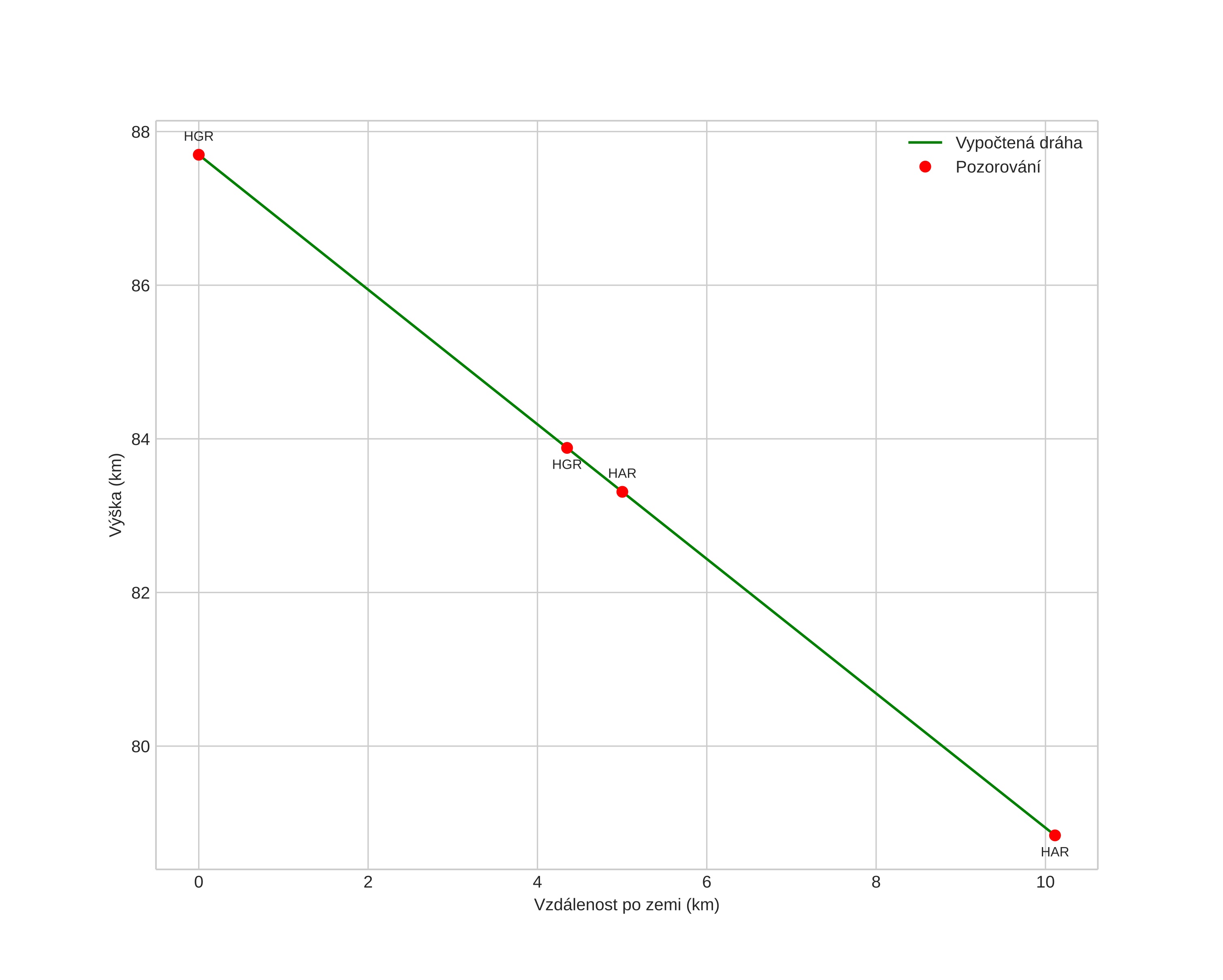
height profile
Atmosférická dráha meteoru:
Počáteční výška: 87,3 km
Konečná výška: 77,5 km
Počáteční poloha: 61,317N 10,930E
Konečná poloha: 61,390N 11,108E
Směr: 49,8°
Sklon: 38,2°
Vstupní rychlost: 29,9 km/s
Rektascenze radiantu: 03:56 (59,1°)
Deklinace radiantu: 15,2°
Meteorický roj: Jižní Tauridy
Elementy dráhy meteoroidu:
Vzdálenost v periheliu: 0,419 AU
Excentricita: 0,855
Sklon dráhy: 5,3°
Délka vzestupného uzlu: 52,6°
Argument perihelia: 104,5°
Střední anomálie: 351,6°
Epocha: 2025 NOV 15 02:17:12
orbit plot

Neinteraktivní graf | Interaktivní graf

position vs time
speed and acceleration