Atmosférická dráha meteoru:
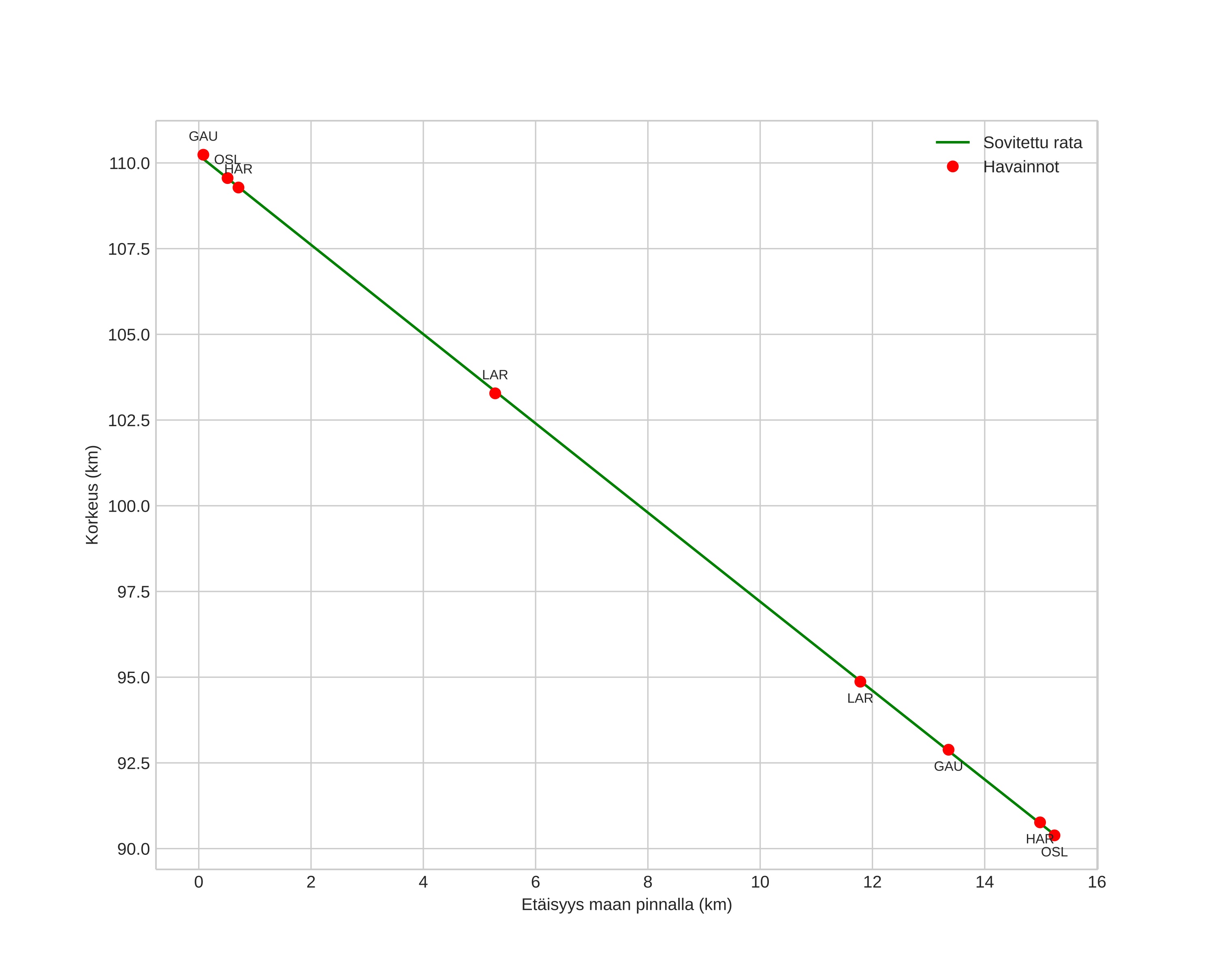
| Počátečnà výška: | 111,4 km |
| Konečná výška: | 90,4 km |
| Počátečnà poloha: | 60,600N 8,046E |
| Konečná poloha: | 60,684N 7,802E |
| Směr: | 305,2° |
| Sklon: | 52,2° |
| VstupnĂ rychlost: | 72,6 km/s |
| Rektascenze radiantu: | 09:20 (140,2°) |
| Deklinace radiantu: | 30,9° |
| MeteorickĂ˝ roj: | sporadickĂ˝ |
|
Elementy dráhy meteoroidu:
| Vzdálenost v periheliu: | 0,919 AU |
| Excentricita: | 1,139 |
| Sklon dráhy: | 154,7° |
| Délka vzestupného uzlu: | 232,6° |
| Argument perihelia: | 209,9° |
| Střednà anomálie: | -1,1° |
| Epocha: | 2025 NOV 15 02:50:12 |
|