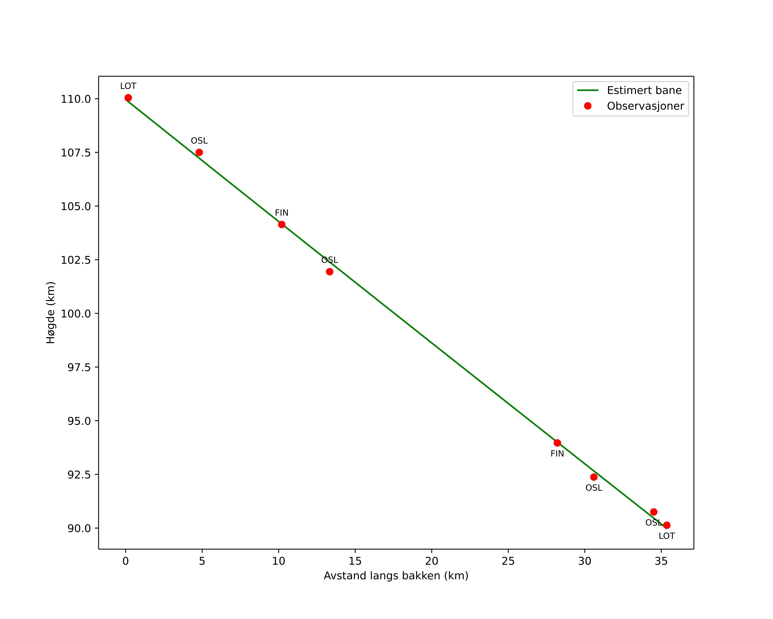
Atmosférická dráha meteoru:
| Počátečnà výška: | 109,3 km |
| Konečná výška: | 90,4 km |
| Počátečnà poloha: | 60,312N 12,187E |
| Konečná poloha: | 60,067N 11,773E |
| Směr: | 220,2° |
| Sklon: | 28,0° |
| VstupnĂ rychlost: | 58,9 km/s |
| Rektascenze radiantu: | 08:57 (134,4°) |
| Deklinace radiantu: | 47,5° |
| MeteorickĂ˝ roj: | sporadickĂ˝ |
|
Elementy dráhy meteoroidu:
| Vzdálenost v periheliu: | 0,700 AU |
| Excentricita: | 0,694 |
| Sklon dráhy: | 121,4° |
| Délka vzestupného uzlu: | 233,4° |
| Argument perihelia: | 253,4° |
| Střednà anomálie: | 347,7° |
| Epocha: | 2025 NOV 15 20:21:06 |
|