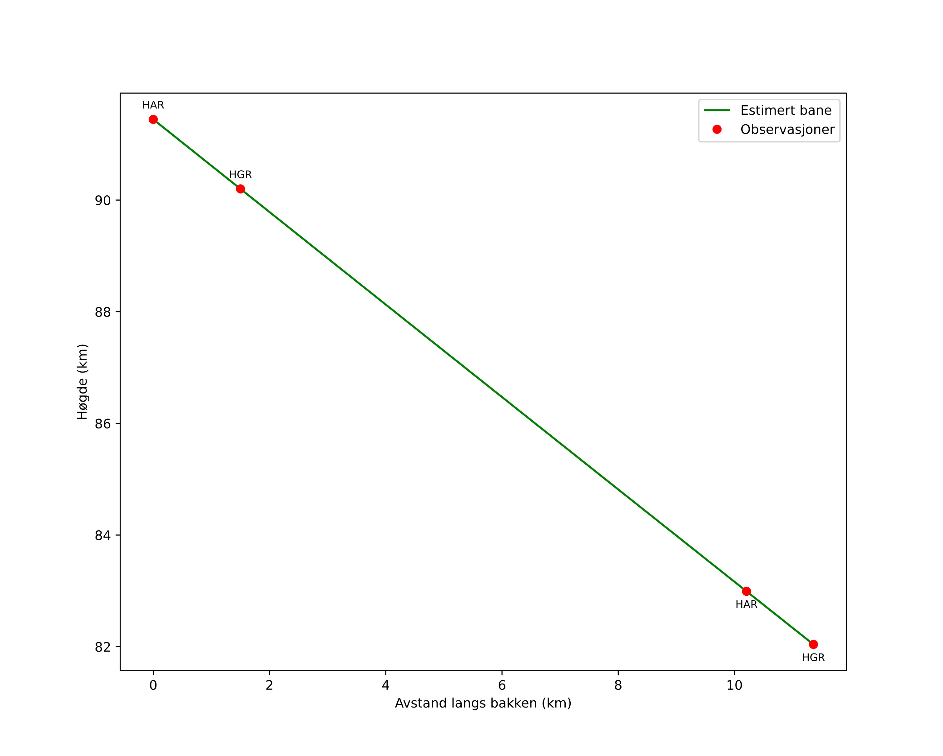
Atmosférická dráha meteoru:
| Počátečnà výška: | 92,6 km |
| Konečná výška: | 82,5 km |
| Počátečnà poloha: | 60,569N 7,216E |
| Konečná poloha: | 60,591N 7,005E |
| Směr: | 282,2° |
| Sklon: | 40,7° |
| VstupnĂ rychlost: | 38,7 km/s |
| Rektascenze radiantu: | 05:10 (77,7°) |
| Deklinace radiantu: | 28,4° |
| MeteorickĂ˝ roj: | sporadickĂ˝ |
|
Elementy dráhy meteoroidu:
| Vzdálenost v periheliu: | 0,121 AU |
| Excentricita: | 0,937 |
| Sklon dráhy: | 13,8° |
| Délka vzestupného uzlu: | 233,4° |
| Argument perihelia: | 324,6° |
| Střednà anomálie: | 347,2° |
| Epocha: | 2025 NOV 15 21:08:49 |
|