🇳🇴 🇬🇧 🇩🇪 🇨🇿 🇫🇮

Meteor over Raufoss 2025-11-15 23:16:20 UTC

KML-fil  |  Interaktivt kart

Kartet viser peilingene for meteoren. De lysere linjene viser retningene fra observasjonsstedene for meteorens tilsynekomst, og de mørkere linjene viser hvor den sist kunne sees. Den blå pila viser meteorens synlige ferd.

static map
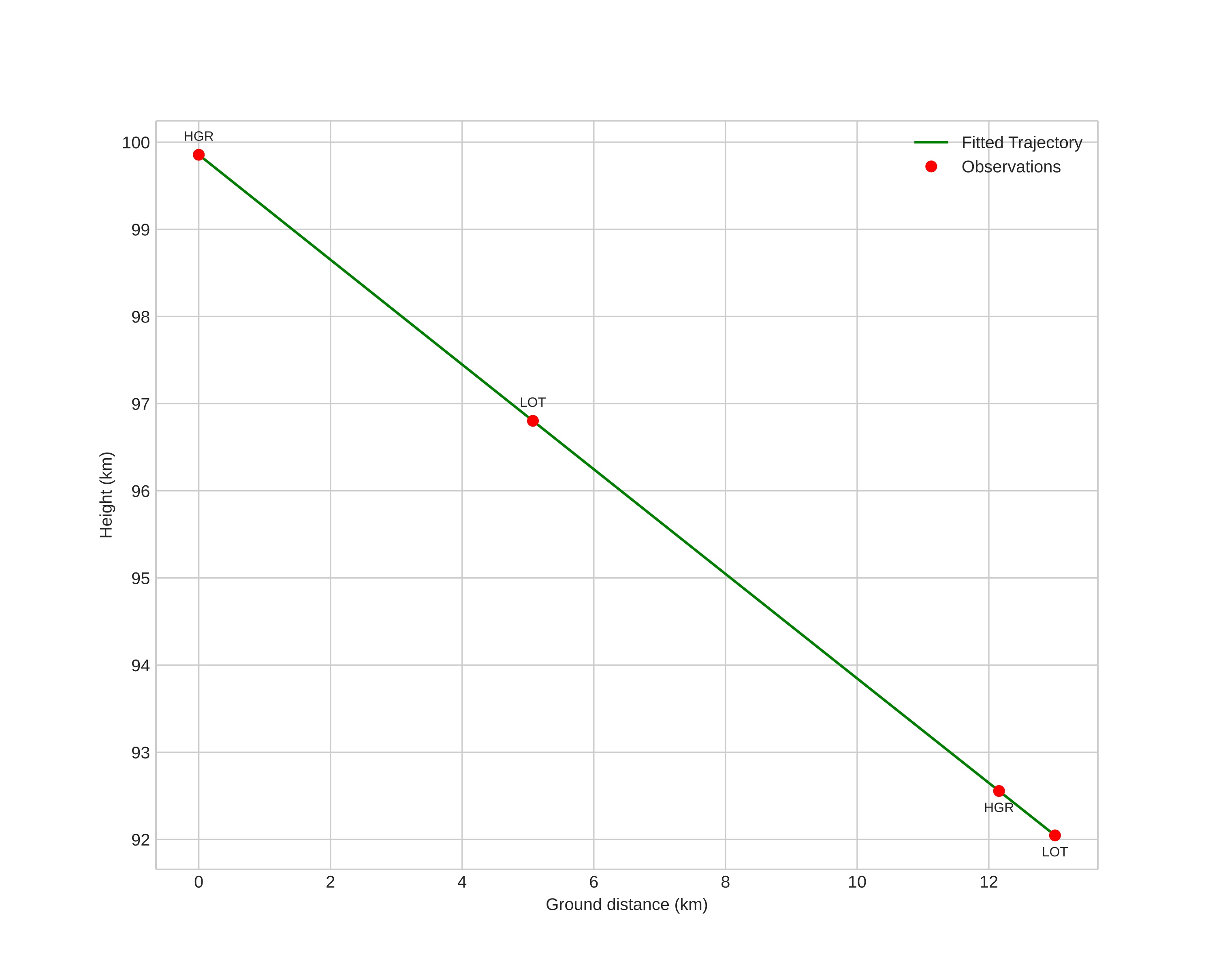
height profile
Meteorens atmosfæriske bane:
Starthøgde: 97,8 km
Slutthøgde: 91,3 km
Startposisjon: 60,912N 10,732E
Sluttposisjon: 60,833N 10,533E
Retning: 230,8°
Fallvinkel: 25,1°
Inngangshastighet: 65,0 km/s
Radiantens rektascensjon: 11:11 (167,8°)
Radiantens deklinasjon: 40,2°
Meteorsverm: sporadisk
Meteoroidens baneelement:
Perihelavstand: 0,959 AU
Eksentrisitet: 0,946
Inklinasjon: 124,9°
Knutelengde: 233,5°
Perihelargument: 159,5°
Midlere anomali: 0,2°
Epoke: 2025 NOV 15 23:16:20
orbit plot

Ikke-interaktivt plott | Interaktivt plott

position vs time
speed and acceleration

Hagar (HGR) cam7


gnomonic
Videoer
• Gnomonisk
• Gnomonisk med koordinater
• Original
• Original med koordinater
Bilder
• Gnomonisk
• Gnomonisk med koordinater
• Original
• Original med koordinater
Tekstfiler
• Deteksjon
• Observasjon
• Koordinater
• Logg
Lysstyrke

Loten (LOT) cam6


gnomonic
Videoer
• Gnomonisk
• Gnomonisk med koordinater
• Original
• Original med koordinater
Bilder
• Gnomonisk
• Gnomonisk med koordinater
• Original
• Original med koordinater
Tekstfiler
• Deteksjon
• Observasjon
• Koordinater
• Logg
Lysstyrke