🇳🇴 🇬🇧 🇩🇪 🇨🇿 🇫🇮

Meteor über Storfors 2025-11-16 03:09:49 UTC

KML-Datei  |  Interaktive Karte

Die Karte zeigt die Peilungen für den Meteor. Die helleren Linien zeigen die Richtungen von den Beobachtungsorten beim Erscheinen des Meteors, und die dunkleren Linien, wo er zuletzt gesehen wurde. Der blaue Pfeil zeigt die sichtbare Bahn des Meteors.

static map
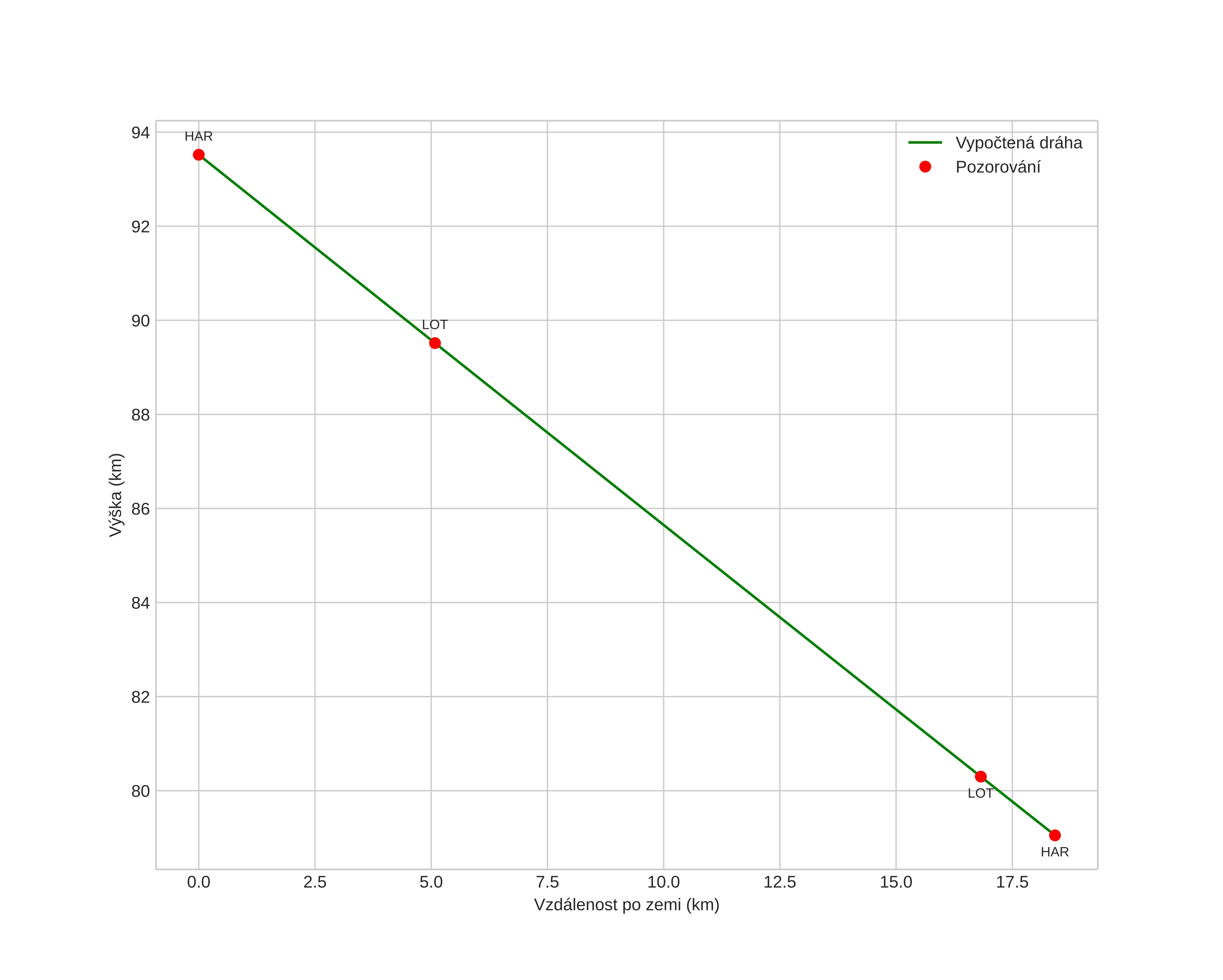
height profile
Atmosphärische Bahn des Meteors:
Anfangshöhe: 91,6 km
Endhöhe: 79,0 km
Startposition: 59,500N 14,128E
Endposition: 59,543N 14,399E
Richtung: 72,8°
Neigungswinkel: 38,2°
Eintrittsgeschwindigkeit: 29,4 km/s
Rektaszension des Radianten: 03:58 (59,5°)
Deklination des Radianten: 22,4°
Meteorstrom: Nördliche Tauriden
Bahnelemente des Meteoroiden:
Periheldistanz: 0,411 AU
Exzentrizität: 0,834
Inklination: 2,0°
Länge des aufsteigenden Knotens: 233,6°
Argument des Perihels: 286,6°
Mittlere Anomalie: 349,3°
Epoche: 2025 NOV 16 03:09:49
orbit plot

Nicht-interaktives Diagramm | Interaktives Diagramm

position vs time
speed and acceleration

Harestua (HAR) cam3


gnomonic
Videos
• Gnomonisch
• Gnomonisch mit Koordinaten
• Original
• Original mit Koordinaten
Bilder
• Gnomonisch
• Gnomonisch mit Koordinaten
• Original
• Original mit Koordinaten
Textdateien
• Erkennung
• Beobachtung
• Koordinaten
• Protokoll
Helligkeit

Loten (LOT) cam3


gnomonic
Videos
• Gnomonisch
• Gnomonisch mit Koordinaten
• Original
• Original mit Koordinaten
Bilder
• Gnomonisch
• Gnomonisch mit Koordinaten
• Original
• Original mit Koordinaten
Textdateien
• Erkennung
• Beobachtung
• Koordinaten
• Protokoll
Helligkeit