Atmosférická dráha meteoru:
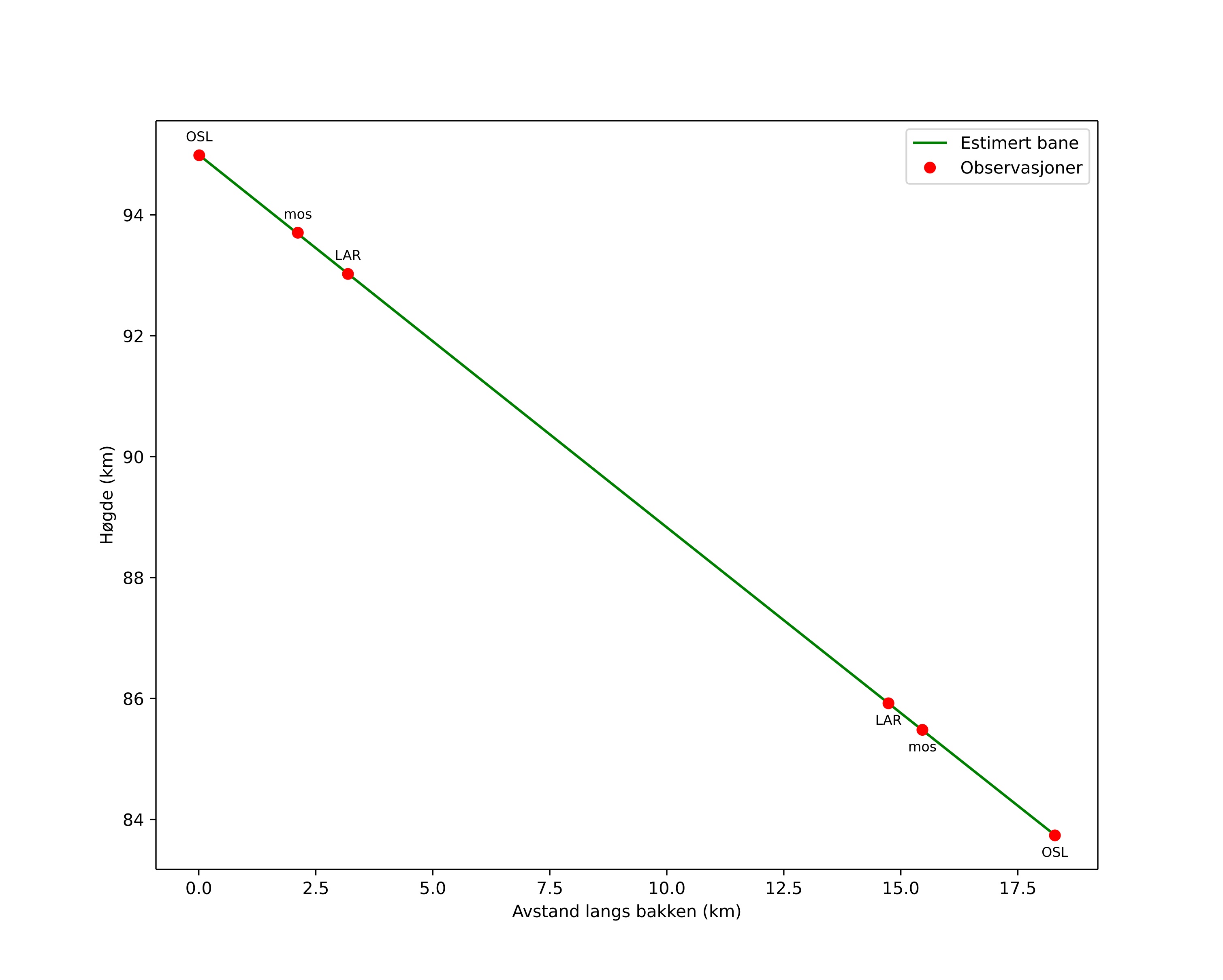
| Počátečnà výška: | 95,5 km |
| Konečná výška: | 83,5 km |
| Počátečnà poloha: | 59,110N 11,057E |
| Konečná poloha: | 59,164N 11,375E |
| Směr: | 71,7° |
| Sklon: | 32,2° |
| VstupnĂ rychlost: | 27,5 km/s |
| Rektascenze radiantu: | 03:55 (59,0°) |
| Deklinace radiantu: | 16,1° |
| MeteorickĂ˝ roj: | JiĹľnĂ Tauridy |
|
Elementy dráhy meteoroidu:
| Vzdálenost v periheliu: | 0,458 AU |
| Excentricita: | 0,794 |
| Sklon dráhy: | 3,9° |
| Délka vzestupného uzlu: | 53,7° |
| Argument perihelia: | 102,3° |
| Střednà anomálie: | 346,9° |
| Epocha: | 2025 NOV 16 03:30:39 |
|