🇳🇴 🇬🇧 🇩🇪 🇨🇿 🇫🇮

Meteor over Lidköping 2025-11-17 01:54:47 UTC

KML-fil  |  Interaktivt kart

Kartet viser peilingene for meteoren. De lysere linjene viser retningene fra observasjonsstedene for meteorens tilsynekomst, og de mørkere linjene viser hvor den sist kunne sees. Den blå pila viser meteorens synlige ferd.

static map
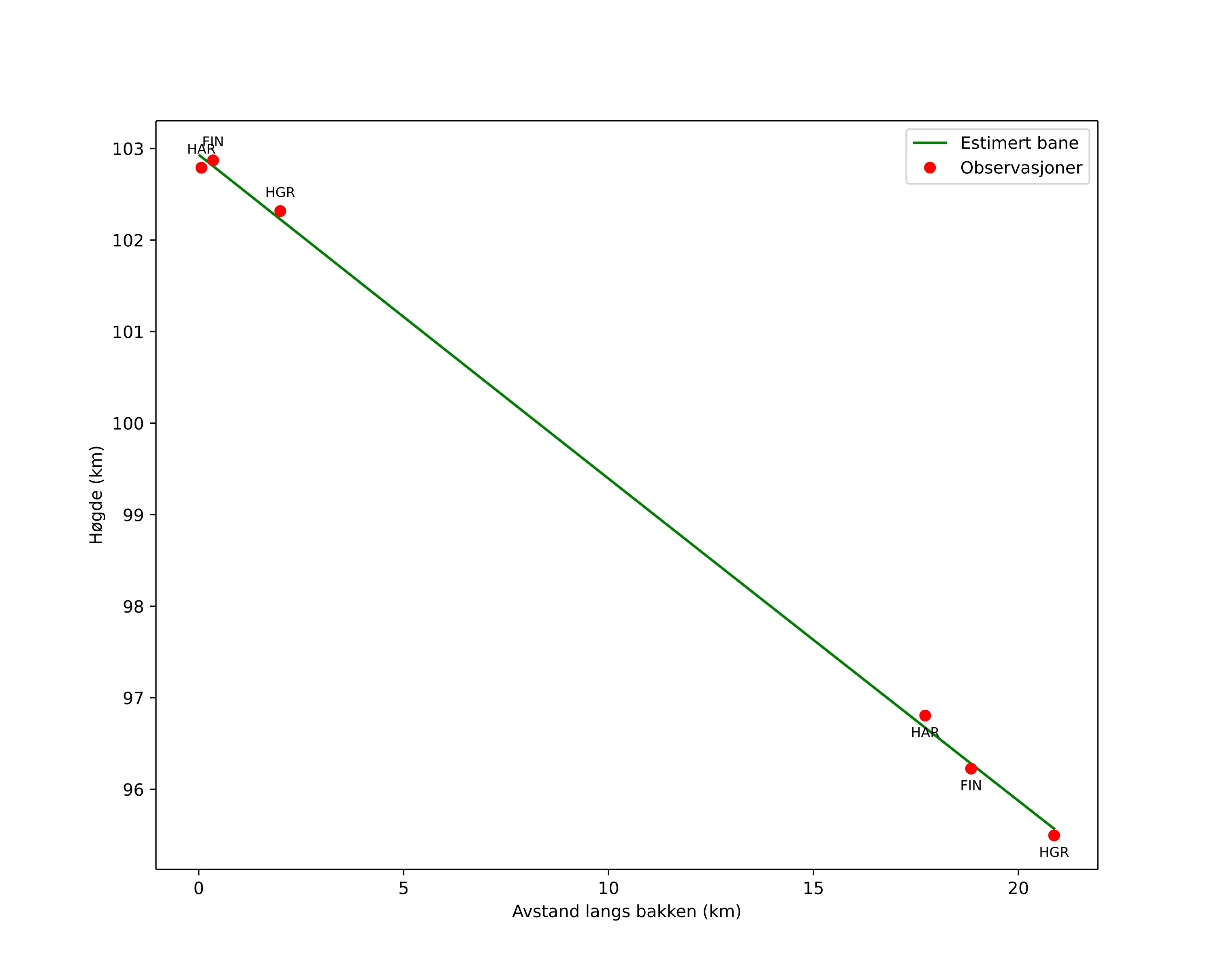
height profile
Meteorens atmosfæriske bane:
Starthøgde: 102,9 km
Slutthøgde: 95,6 km
Startposisjon: 58,543N 13,477E
Sluttposisjon: 58,514N 13,121E
Retning: 261,4°
Fallvinkel: 19,3°
Inngangshastighet: 66,4 km/s
Radiantens rektascensjon: 12:20 (185,2°)
Radiantens deklinasjon: 20,5°
Meteorsverm: sporadisk
Meteoroidens baneelement:
Perihelavstand: 0,523 AU
Eksentrisitet: 1,126
Inklinasjon: 133,2°
Knutelengde: 234,6°
Perihelargument: 96,3°
Midlere anomali: 4,2°
Epoke: 2025 NOV 17 01:54:47
orbit plot

Ikke-interaktivt plott | Interaktivt plott

position vs time
speed and acceleration

Finnskogen (FIN) cam3


gnomonic
Videoer
• Gnomonisk
• Gnomonisk med koordinater
• Original
• Original med koordinater
Bilder
• Gnomonisk
• Gnomonisk med koordinater
• Original
• Original med koordinater
Tekstfiler
• Deteksjon
• Observasjon
• Koordinater
• Logg
Lysstyrke

Hagar (HGR) cam4


gnomonic
Videoer
• Gnomonisk
• Gnomonisk med koordinater
• Original
• Original med koordinater
Bilder
• Gnomonisk
• Gnomonisk med koordinater
• Original
• Original med koordinater
Tekstfiler
• Deteksjon
• Observasjon
• Koordinater
• Logg
Lysstyrke

Harestua (HAR) cam3


gnomonic
Videoer
• Gnomonisk
• Gnomonisk med koordinater
• Original
• Original med koordinater
Bilder
• Gnomonisk
• Gnomonisk med koordinater
• Original
• Original med koordinater
Tekstfiler
• Deteksjon
• Observasjon
• Koordinater
• Logg
Lysstyrke