🇳🇴 🇬🇧 🇩🇪 🇨🇿 🇫🇮

Meteor over Kiruna 2025-11-17 21:06:46 UTC

KML-fil  |  Interaktivt kart

Kartet viser peilingene for meteoren. De lysere linjene viser retningene fra observasjonsstedene for meteorens tilsynekomst, og de mørkere linjene viser hvor den sist kunne sees. Den blå pila viser meteorens synlige ferd.

static map
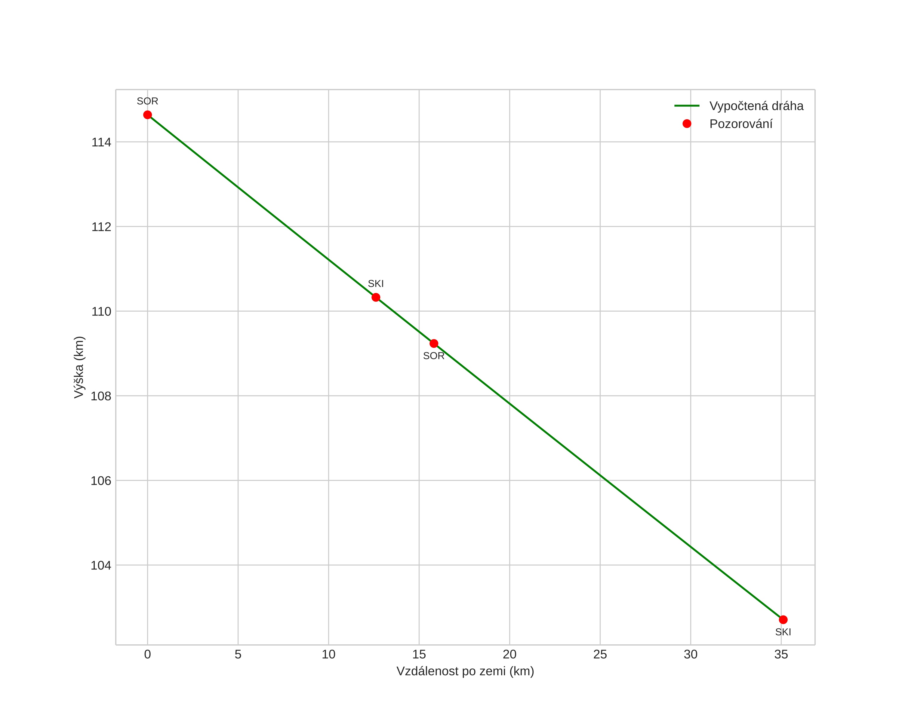
height profile
Meteorens atmosfæriske bane:
Starthøgde: 115,1 km
Slutthøgde: 103,9 km
Startposisjon: 68,339N 20,493E
Sluttposisjon: 68,168N 19,658E
Retning: 241,4°
Fallvinkel: 15,9°
Inngangshastighet: 73,0 km/s
Radiantens rektascensjon: 09:41 (145,3°)
Radiantens deklinasjon: 24,8°
Meteorsverm: Leonidene
Meteoroidens baneelement:
Perihelavstand: 0,957 AU
Eksentrisitet: 1,063
Inklinasjon: 162,3°
Knutelengde: 235,4°
Perihelargument: 200,5°
Midlere anomali: -0,2°
Epoke: 2025 NOV 17 21:06:46
orbit plot

Ikke-interaktivt plott | Interaktivt plott

position vs time
speed and acceleration

Skibotn (SKI) cam3


gnomonic
Videoer
• Gnomonisk
• Gnomonisk med koordinater
• Original
• Original med koordinater
Bilder
• Gnomonisk
• Gnomonisk med koordinater
• Original
• Original med koordinater
Tekstfiler
• Deteksjon
• Observasjon
• Koordinater
• Logg
Lysstyrke

Sorreisa (SOR) cam2


gnomonic
Videoer
• Gnomonisk
• Gnomonisk med koordinater
• Original
• Original med koordinater
Bilder
• Gnomonisk
• Gnomonisk med koordinater
• Original
• Original med koordinater
Tekstfiler
• Deteksjon
• Observasjon
• Koordinater
• Logg
Lysstyrke