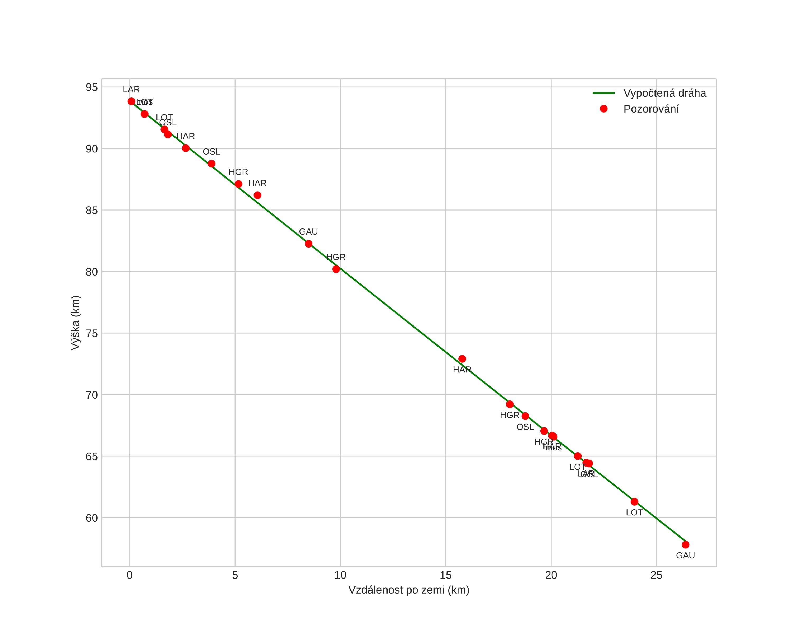
Atmosférická dráha meteoru:
| Počátečnà výška: | 95,5 km |
| Konečná výška: | 57,8 km |
| Počátečnà poloha: | 59,014N 11,047E |
| Konečná poloha: | 59,249N 11,211E |
| Směr: | 19,7° |
| Sklon: | 53,6° |
| VstupnĂ rychlost: | 25,4 km/s |
| Rektascenze radiantu: | 03:22 (50,6°) |
| Deklinace radiantu: | 21,6° |
| MeteorickĂ˝ roj: | sporadickĂ˝ |
|
Elementy dráhy meteoroidu:
| Vzdálenost v periheliu: | 0,582 AU |
| Excentricita: | 0,803 |
| Sklon dráhy: | 2,2° |
| Délka vzestupného uzlu: | 235,5° |
| Argument perihelia: | 265,7° |
| Střednà anomálie: | 351,7° |
| Epocha: | 2025 NOV 17 23:45:16 |
|