🇳🇴 🇬🇧 🇩🇪 🇨🇿 🇫🇮

Meteor over Stallarholmen 2025-11-18 00:09:16 UTC

KML-fil  |  Interaktivt kart

Kartet viser peilingene for meteoren. De lysere linjene viser retningene fra observasjonsstedene for meteorens tilsynekomst, og de mørkere linjene viser hvor den sist kunne sees. Den blå pila viser meteorens synlige ferd.

static map
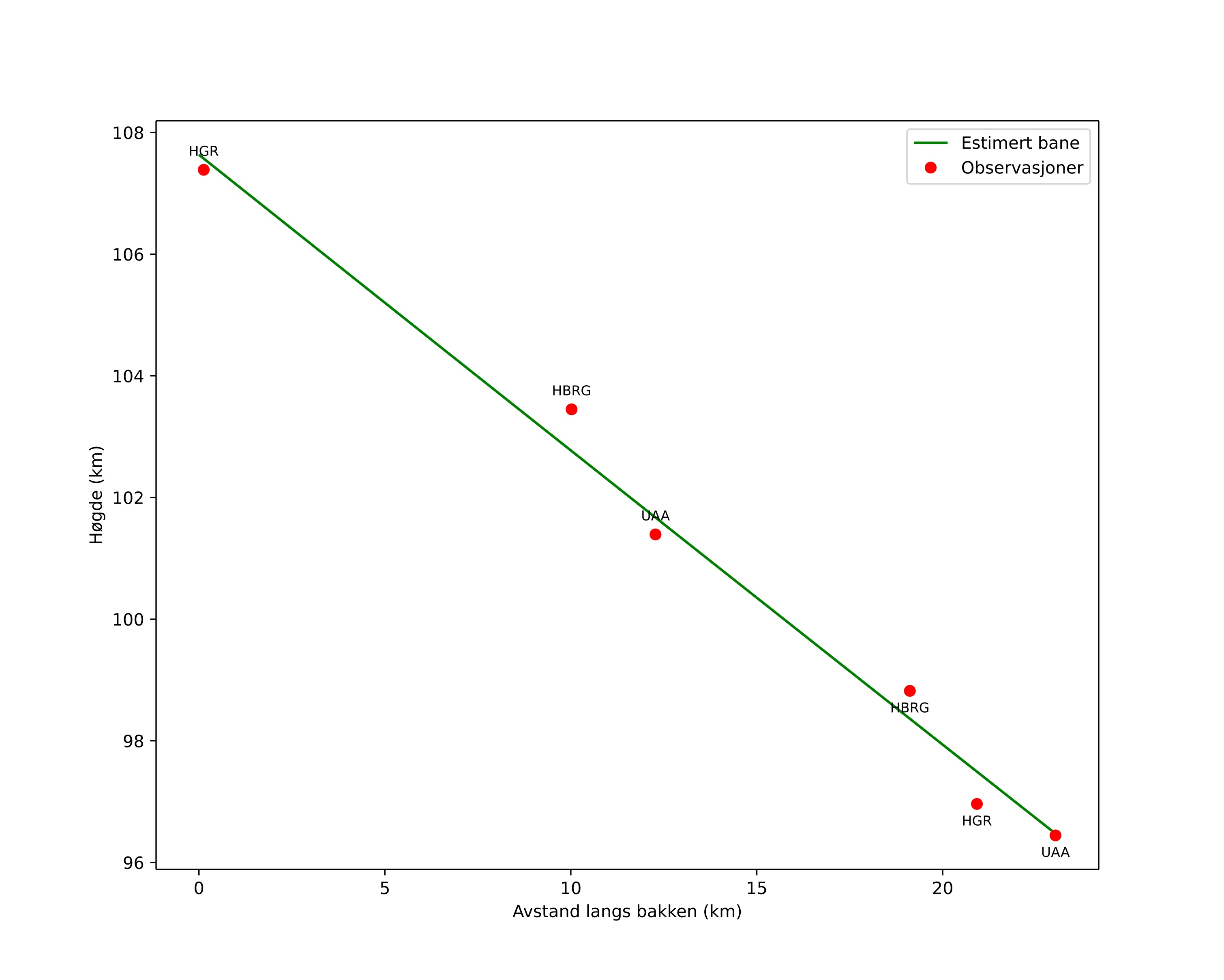
height profile
Meteorens atmosfæriske bane:
Starthøgde: 110,8 km
Slutthøgde: 96,0 km
Startposisjon: 59,359N 17,695E
Sluttposisjon: 59,323N 17,185E
Retning: 262,2°
Fallvinkel: 26,8°
Inngangshastighet: 61,8 km/s
Radiantens rektascensjon: 10:36 (159,0°)
Radiantens deklinasjon: 26,5°
Meteorsverm: Leonidene
Meteoroidens baneelement:
Perihelavstand: 0,934 AU
Eksentrisitet: 0,252
Inklinasjon: 148,4°
Knutelengde: 235,5°
Perihelargument: 136,7°
Midlere anomali: 26,0°
Epoke: 2025 NOV 18 00:09:16
orbit plot

Ikke-interaktivt plott | Interaktivt plott

position vs time
speed and acceleration

Hagar (HGR) cam4


gnomonic
Videoer
• Gnomonisk
• Gnomonisk med koordinater
• Original
• Original med koordinater
Bilder
• Gnomonisk
• Gnomonisk med koordinater
• Original
• Original med koordinater
Tekstfiler
• Deteksjon
• Observasjon
• Koordinater
• Logg
Lysstyrke