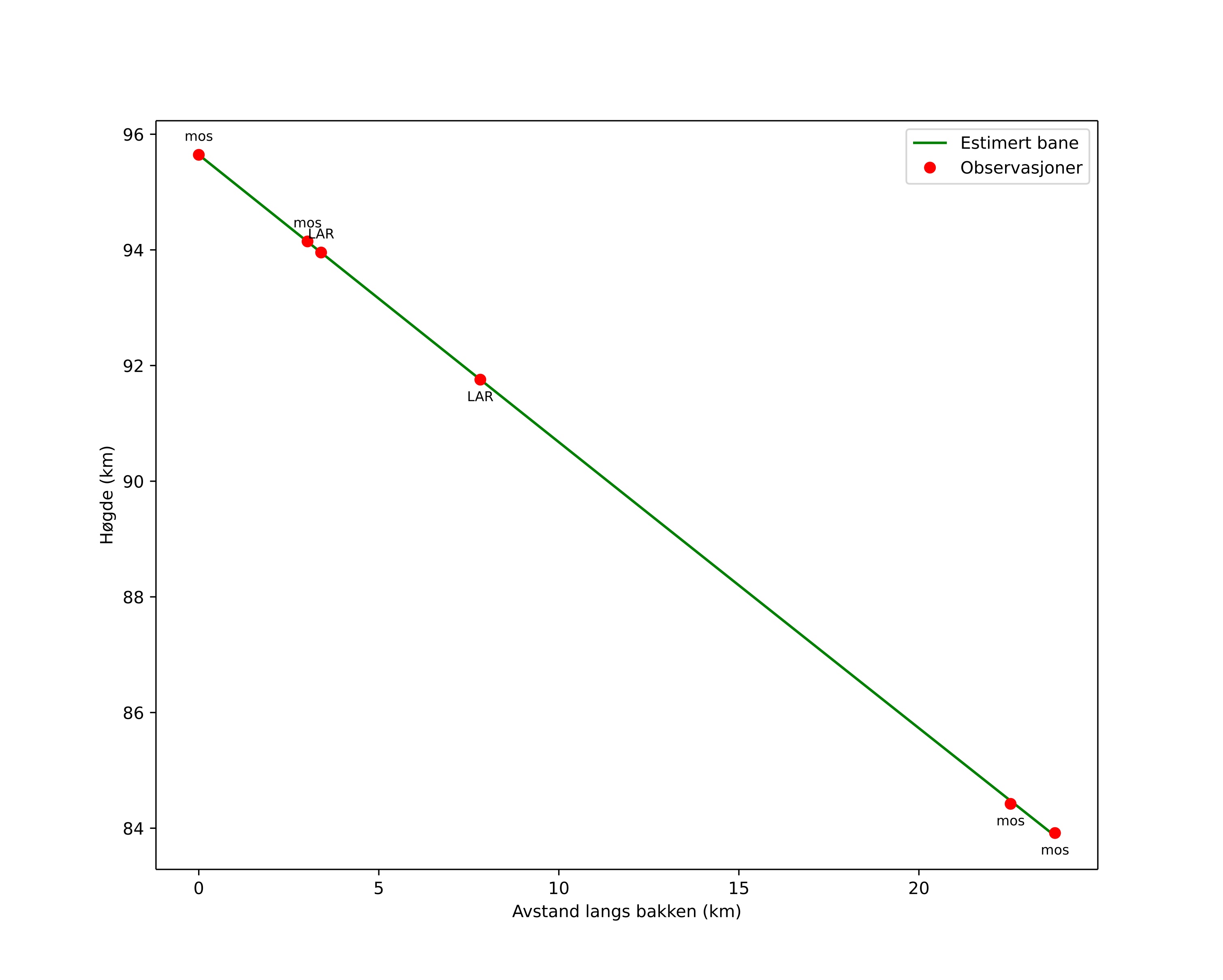
Atmosférická dráha meteoru:
| Počátečnà výška: | 94,6 km |
| Konečná výška: | 86,0 km |
| Počátečnà poloha: | 58,527N 10,704E |
| Konečná poloha: | 58,625N 11,002E |
| Směr: | 57,5° |
| Sklon: | 22,8° |
| VstupnĂ rychlost: | 22,5 km/s |
| Rektascenze radiantu: | 03:06 (46,6°) |
| Deklinace radiantu: | -0,7° |
| MeteorickĂ˝ roj: | sporadickĂ˝ |
|
Elementy dráhy meteoroidu:
| Vzdálenost v periheliu: | 0,730 AU |
| Excentricita: | 0,793 |
| Sklon dráhy: | 9,9° |
| Délka vzestupného uzlu: | 55,6° |
| Argument perihelia: | 65,8° |
| Střednà anomálie: | 354,2° |
| Epocha: | 2025 NOV 18 02:11:17 |
|