🇳🇴 🇬🇧 🇩🇪 🇨🇿 🇫🇮

Meteor over Hammarstrand 2025-11-18 02:35:46 UTC

KML-fil  |  Interaktivt kart

Kartet viser peilingene for meteoren. De lysere linjene viser retningene fra observasjonsstedene for meteorens tilsynekomst, og de mørkere linjene viser hvor den sist kunne sees. Den blå pila viser meteorens synlige ferd.

static map
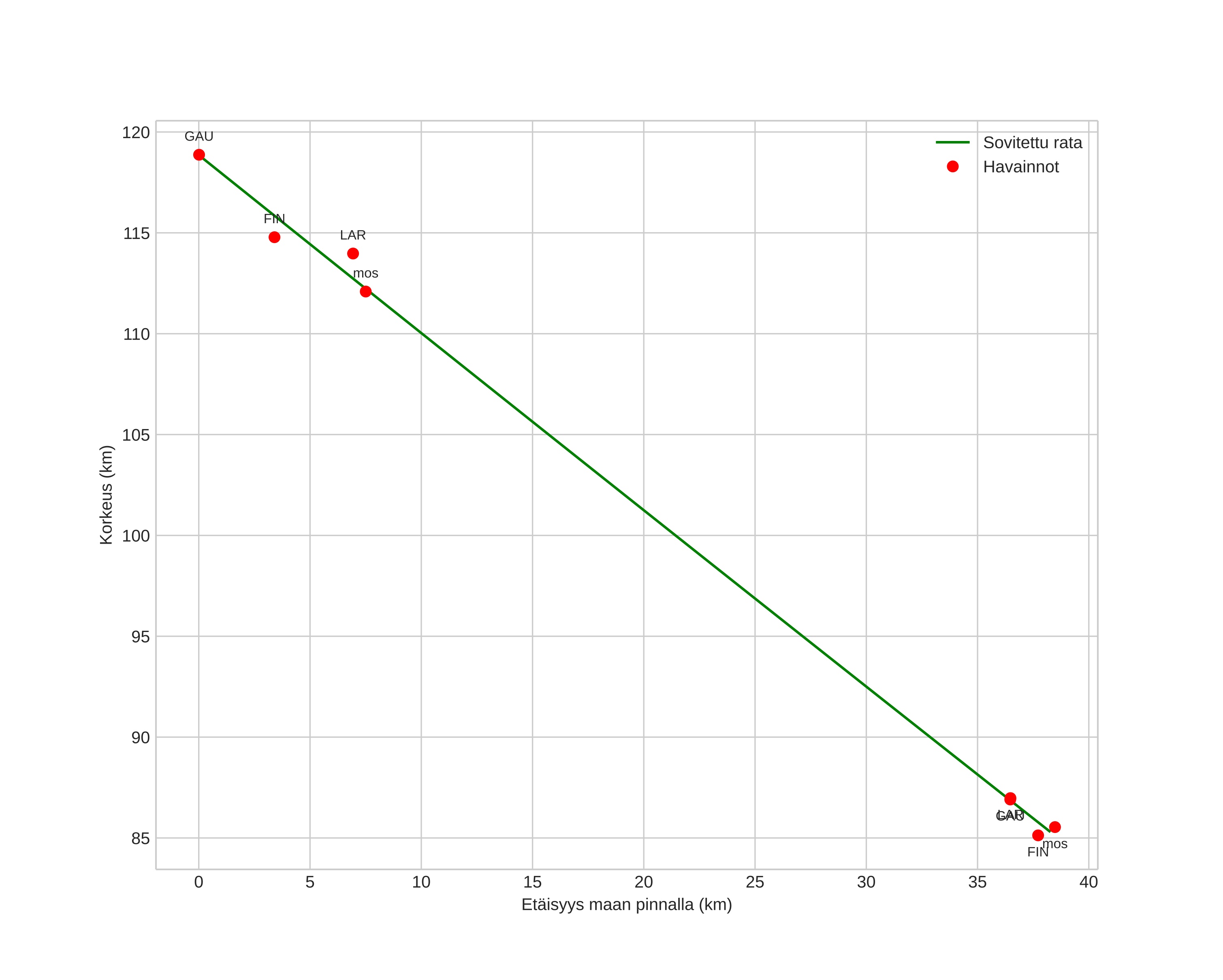
height profile
Meteorens atmosfæriske bane:
Starthøgde: 166,5 km
Slutthøgde: 63,5 km
Startposisjon: 63,851N 20,913E
Sluttposisjon: 62,803N 16,673E
Retning: 243,1°
Fallvinkel: 23,1°
Inngangshastighet: 263,4 km/s
Radiantens rektascensjon: 14:42 (220,6°)
Radiantens deklinasjon: 32,5°
Meteorsverm: sporadisk
Meteoroidens baneelement:
Perihelavstand: 0,771 AU
Eksentrisitet: 55,204
Inklinasjon: 109,4°
Knutelengde: 235,6°
Perihelargument: 140,8°
Midlere anomali: 2474,4°
Epoke: 2025 NOV 18 02:35:46
orbit plot

Ikke-interaktivt plott | Interaktivt plott

position vs time
speed and acceleration

Finnskogen (FIN) cam2


gnomonic
Videoer
• Gnomonisk
• Gnomonisk med koordinater
• Original
• Original med koordinater
Bilder
• Gnomonisk
• Gnomonisk med koordinater
• Original
• Original med koordinater
Tekstfiler
• Deteksjon
• Observasjon
• Koordinater
• Logg
Lysstyrke

Gaustatoppen (GAU) cam2


gnomonic
Videoer
• Gnomonisk
• Gnomonisk med koordinater
• Original
• Original med koordinater
Bilder
• Gnomonisk
• Gnomonisk med koordinater
• Original
• Original med koordinater
Tekstfiler
• Deteksjon
• Observasjon
• Koordinater
• Logg
Lysstyrke

Larvik (LAR) cam2


gnomonic
Videoer
• Gnomonisk
• Gnomonisk med koordinater
• Original
• Original med koordinater
Bilder
• Gnomonisk
• Gnomonisk med koordinater
• Original
• Original med koordinater
Tekstfiler
• Deteksjon
• Observasjon
• Koordinater
• Logg
Lysstyrke

Moss (mos) cam2


gnomonic
Videoer
• Gnomonisk
• Gnomonisk med koordinater
• Original
• Original med koordinater
Bilder
• Gnomonisk
• Gnomonisk med koordinater
• Original
• Original med koordinater
Tekstfiler
• Deteksjon
• Observasjon
• Koordinater
• Logg
Lysstyrke