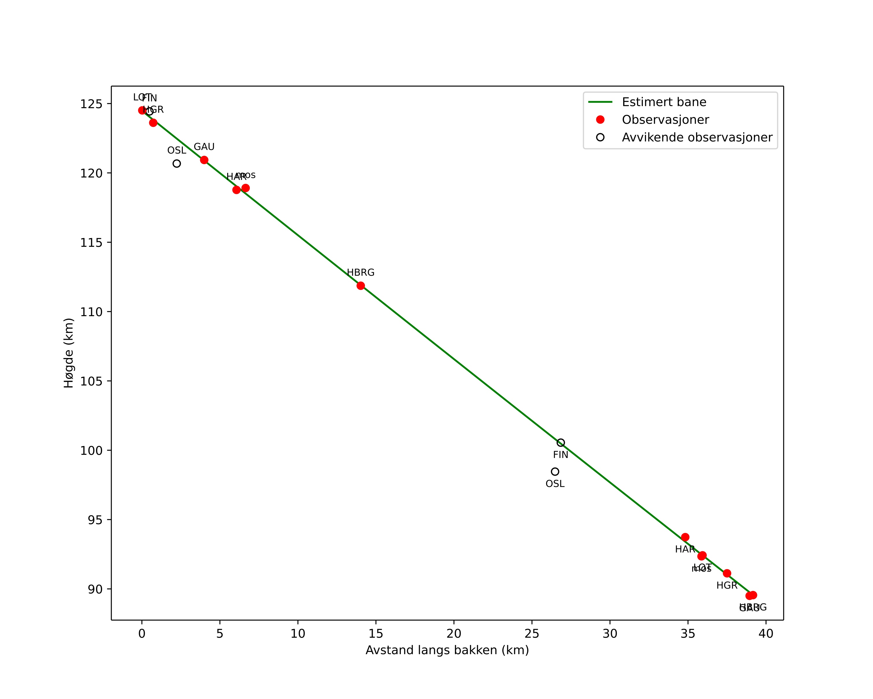
Atmosférická dráha meteoru:
| Počátečnà výška: | 124,9 km |
| Konečná výška: | 89,5 km |
| Počátečnà poloha: | 61,123N 14,432E |
| Konečná poloha: | 61,323N 13,806E |
| Směr: | 303,9° |
| Sklon: | 41,3° |
| VstupnĂ rychlost: | 67,2 km/s |
| Rektascenze radiantu: | 10:15 (153,8°) |
| Deklinace radiantu: | 21,9° |
| MeteorickĂ˝ roj: | Leonidy |
|
Elementy dráhy meteoroidu:
| Vzdálenost v periheliu: | 0,984 AU |
| Excentricita: | 0,523 |
| Sklon dráhy: | 161,2° |
| Délka vzestupného uzlu: | 235,7° |
| Argument perihelia: | 170,4° |
| Střednà anomálie: | 2,6° |
| Epocha: | 2025 NOV 18 02:40:49 |
|