🇳🇴 🇬🇧 🇩🇪 🇨🇿 🇫🇮

Meteor over Halden 2025-11-18 02:49:26 UTC

KML-fil  |  Interaktivt kart

Kartet viser peilingene for meteoren. De lysere linjene viser retningene fra observasjonsstedene for meteorens tilsynekomst, og de mørkere linjene viser hvor den sist kunne sees. Den blå pila viser meteorens synlige ferd.

static map
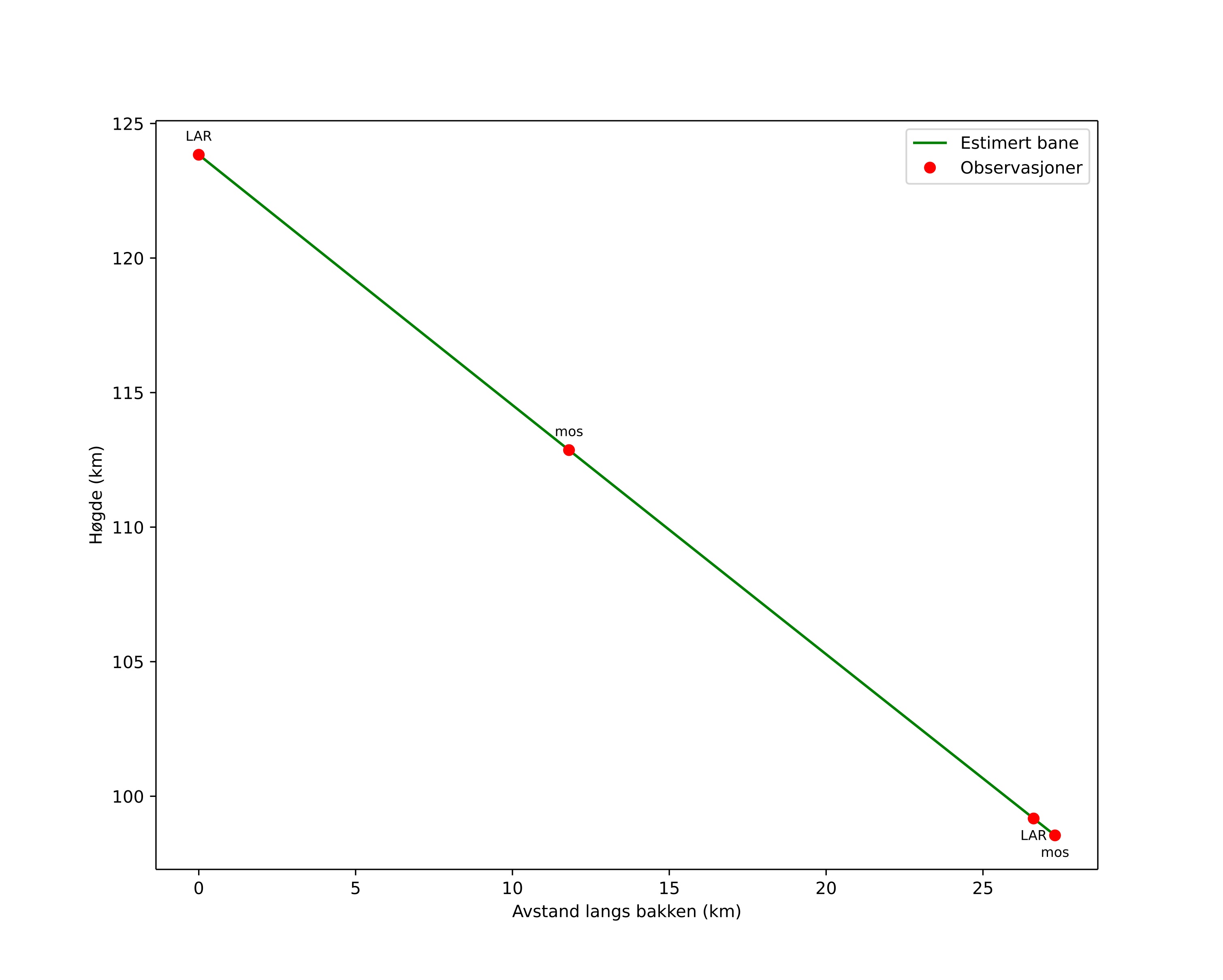
height profile
Meteorens atmosfæriske bane:
Starthøgde: 112,2 km
Slutthøgde: 97,9 km
Startposisjon: 59,131N 11,624E
Sluttposisjon: 59,203N 11,390E
Retning: 301,2°
Fallvinkel: 42,6°
Inngangshastighet: 73,0 km/s
Radiantens rektascensjon: 10:15 (153,9°)
Radiantens deklinasjon: 22,5°
Meteorsverm: Leonidene
Meteoroidens baneelement:
Perihelavstand: 0,986 AU
Eksentrisitet: 1,042
Inklinasjon: 161,4°
Knutelengde: 235,7°
Perihelargument: 174,3°
Midlere anomali: 0,0°
Epoke: 2025 NOV 18 02:49:26
orbit plot

Ikke-interaktivt plott | Interaktivt plott

position vs time
speed and acceleration

Larvik (LAR) cam7


gnomonic
Videoer
• Gnomonisk
• Gnomonisk med koordinater
• Original
• Original med koordinater
Bilder
• Gnomonisk
• Gnomonisk med koordinater
• Original
• Original med koordinater
Tekstfiler
• Deteksjon
• Observasjon
• Koordinater
• Logg
Lysstyrke

Moss (mos) cam7


gnomonic
Videoer
• Gnomonisk
• Gnomonisk med koordinater
• Original
• Original med koordinater
Bilder
• Gnomonisk
• Gnomonisk med koordinater
• Original
• Original med koordinater
Tekstfiler
• Deteksjon
• Observasjon
• Koordinater
• Logg
Lysstyrke