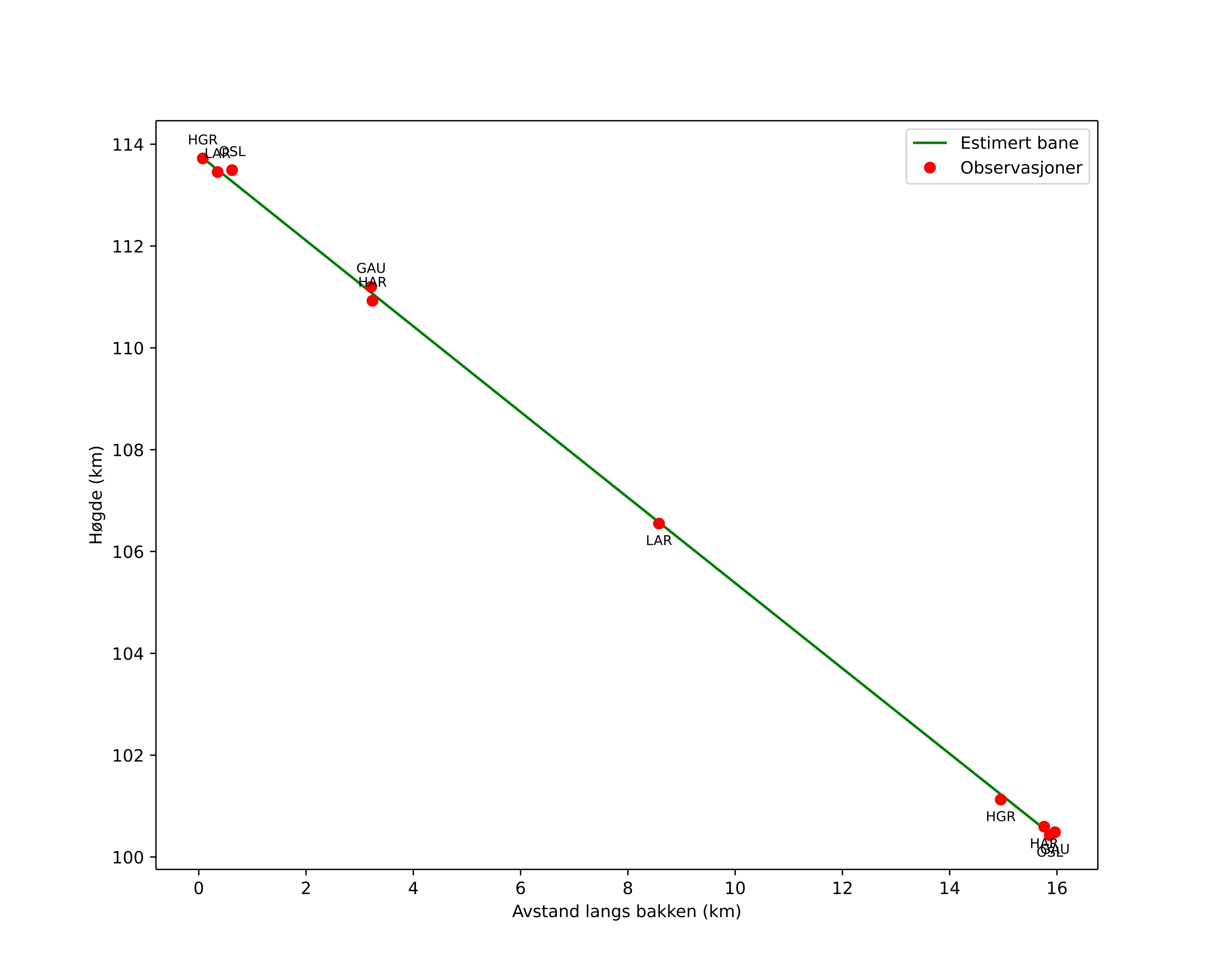
Atmosférická dráha meteoru:
| Počátečnà výška: | 114,2 km |
| Konečná výška: | 99,6 km |
| Počátečnà poloha: | 58,353N 5,946E |
| Konečná poloha: | 58,414N 5,661E |
| Směr: | 292,3° |
| Sklon: | 39,1° |
| VstupnĂ rychlost: | 69,7 km/s |
| Rektascenze radiantu: | 10:26 (156,5°) |
| Deklinace radiantu: | 22,3° |
| MeteorickĂ˝ roj: | Leonidy |
|
Elementy dráhy meteoroidu:
| Vzdálenost v periheliu: | 0,972 AU |
| Excentricita: | 0,757 |
| Sklon dráhy: | 159,4° |
| Délka vzestupného uzlu: | 235,7° |
| Argument perihelia: | 164,0° |
| Střednà anomálie: | 1,5° |
| Epocha: | 2025 NOV 18 02:50:26 |
|