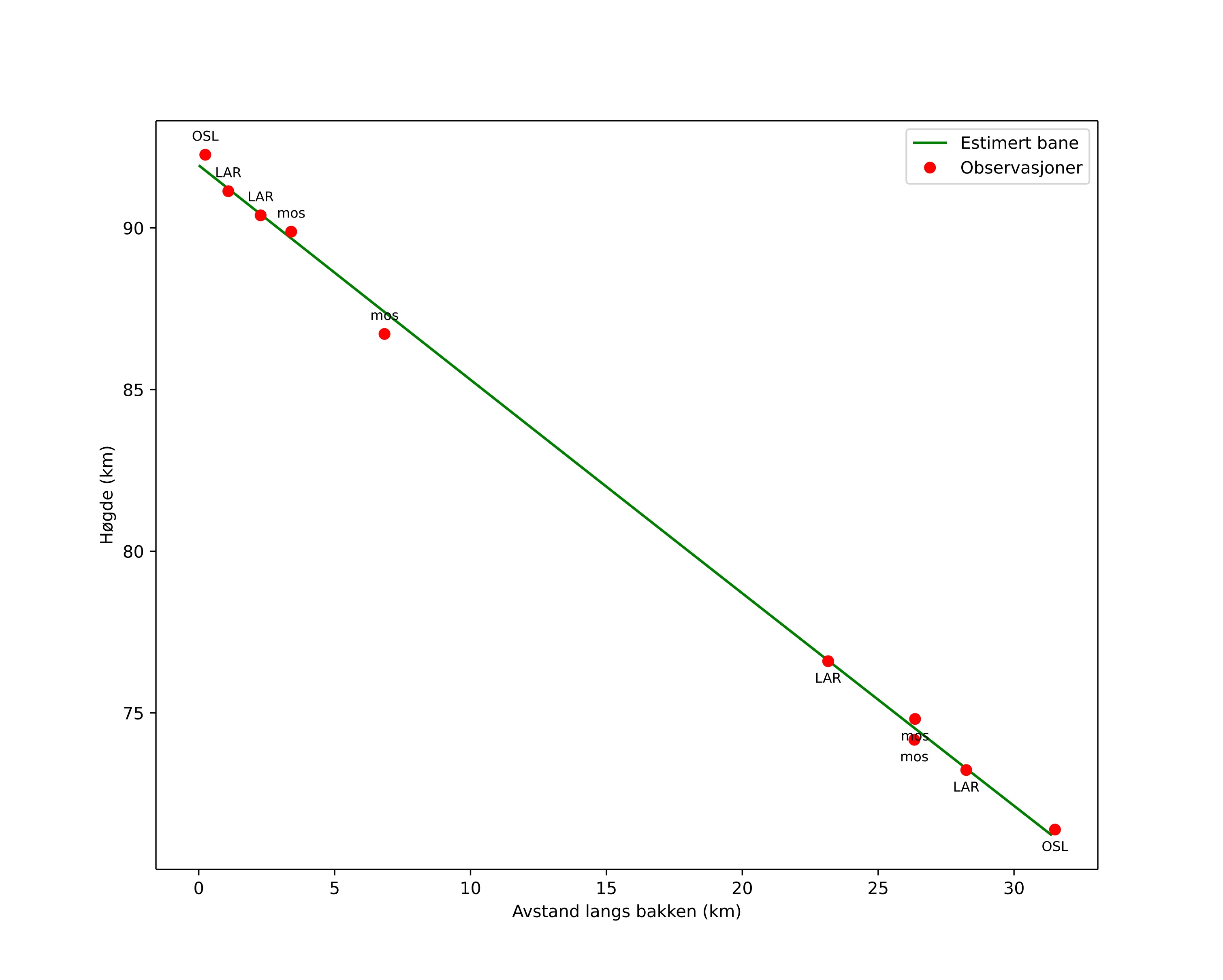
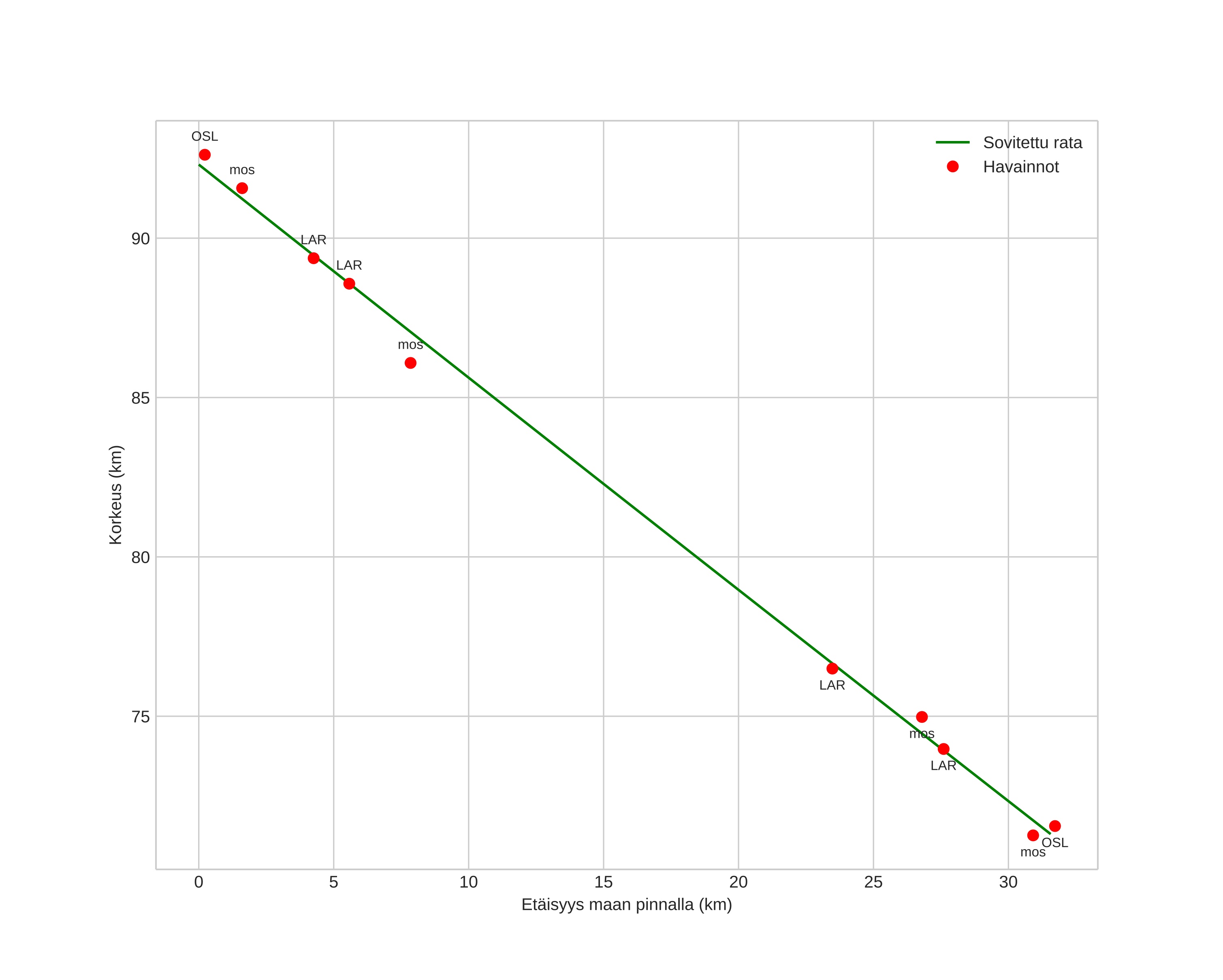
Atmosférická dráha meteoru:
| Počátečnà výška: | 91,9 km |
| Konečná výška: | 71,2 km |
| Počátečnà poloha: | 59,854N 8,387E |
| Konečná poloha: | 59,979N 8,892E |
| Směr: | 63,5° |
| Sklon: | 33,4° |
| VstupnĂ rychlost: | 25,2 km/s |
| Rektascenze radiantu: | 04:00 (60,1°) |
| Deklinace radiantu: | 13,7° |
| MeteorickĂ˝ roj: | JiĹľnĂ Tauridy |
|
Elementy dráhy meteoroidu:
| Vzdálenost v periheliu: | 0,508 AU |
| Excentricita: | 0,729 |
| Sklon dráhy: | 5,5° |
| Délka vzestupného uzlu: | 55,7° |
| Argument perihelia: | 98,7° |
| Střednà anomálie: | 342,2° |
| Epocha: | 2025 NOV 18 03:11:50 |
|