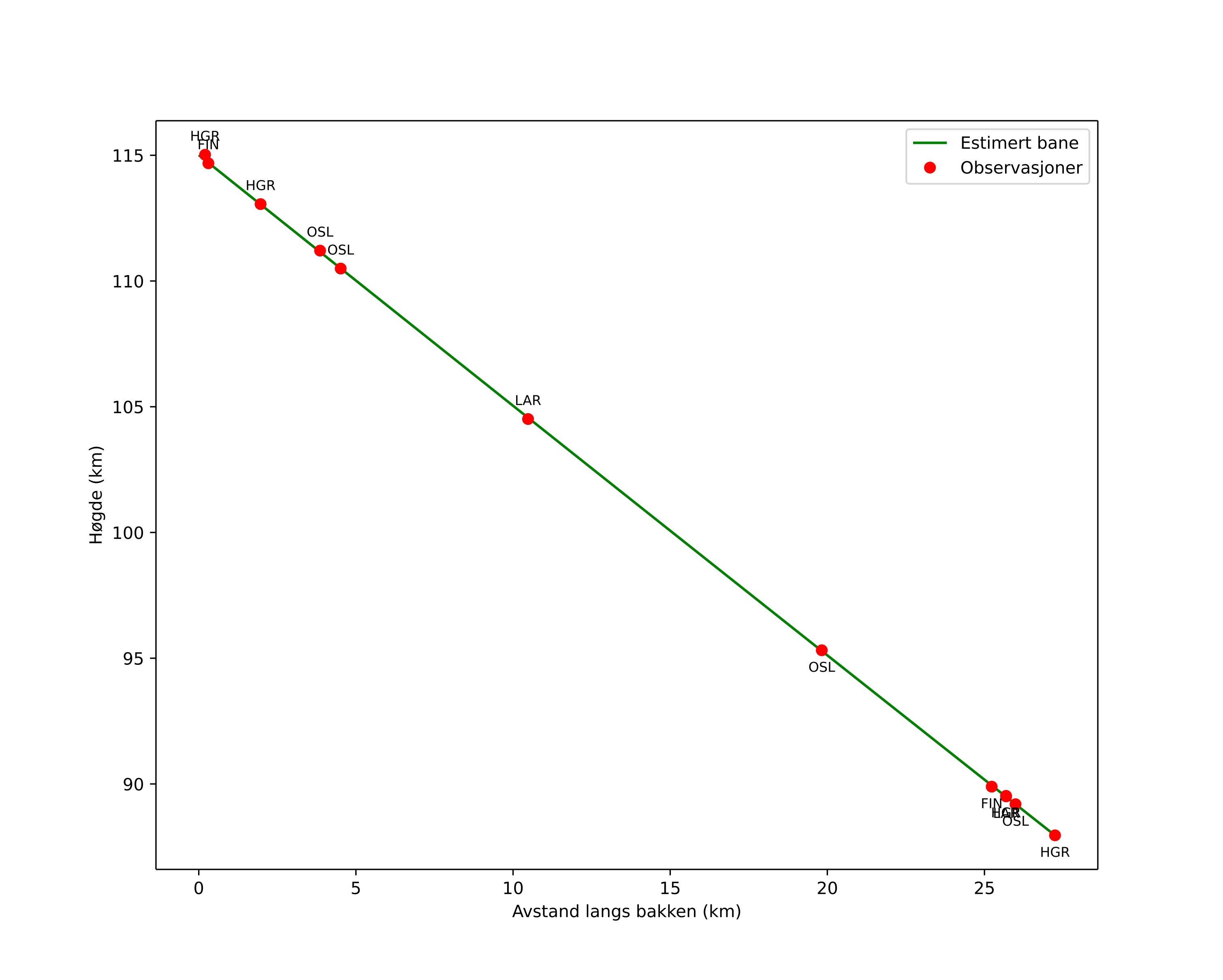
Atmosférická dráha meteoru:
| Počátečnà výška: | 115,0 km |
| Konečná výška: | 89,1 km |
| Počátečnà poloha: | 62,333N 7,122E |
| Konečná poloha: | 62,513N 6,790E |
| Směr: | 319,6° |
| Sklon: | 44,5° |
| VstupnĂ rychlost: | 68,7 km/s |
| Rektascenze radiantu: | 10:17 (154,3°) |
| Deklinace radiantu: | 21,4° |
| MeteorickĂ˝ roj: | Leonidy |
|
Elementy dráhy meteoroidu:
| Vzdálenost v periheliu: | 0,982 AU |
| Excentricita: | 0,648 |
| Sklon dráhy: | 162,1° |
| Délka vzestupného uzlu: | 235,7° |
| Argument perihelia: | 169,6° |
| Střednà anomálie: | 1,7° |
| Epocha: | 2025 NOV 18 04:01:41 |
|