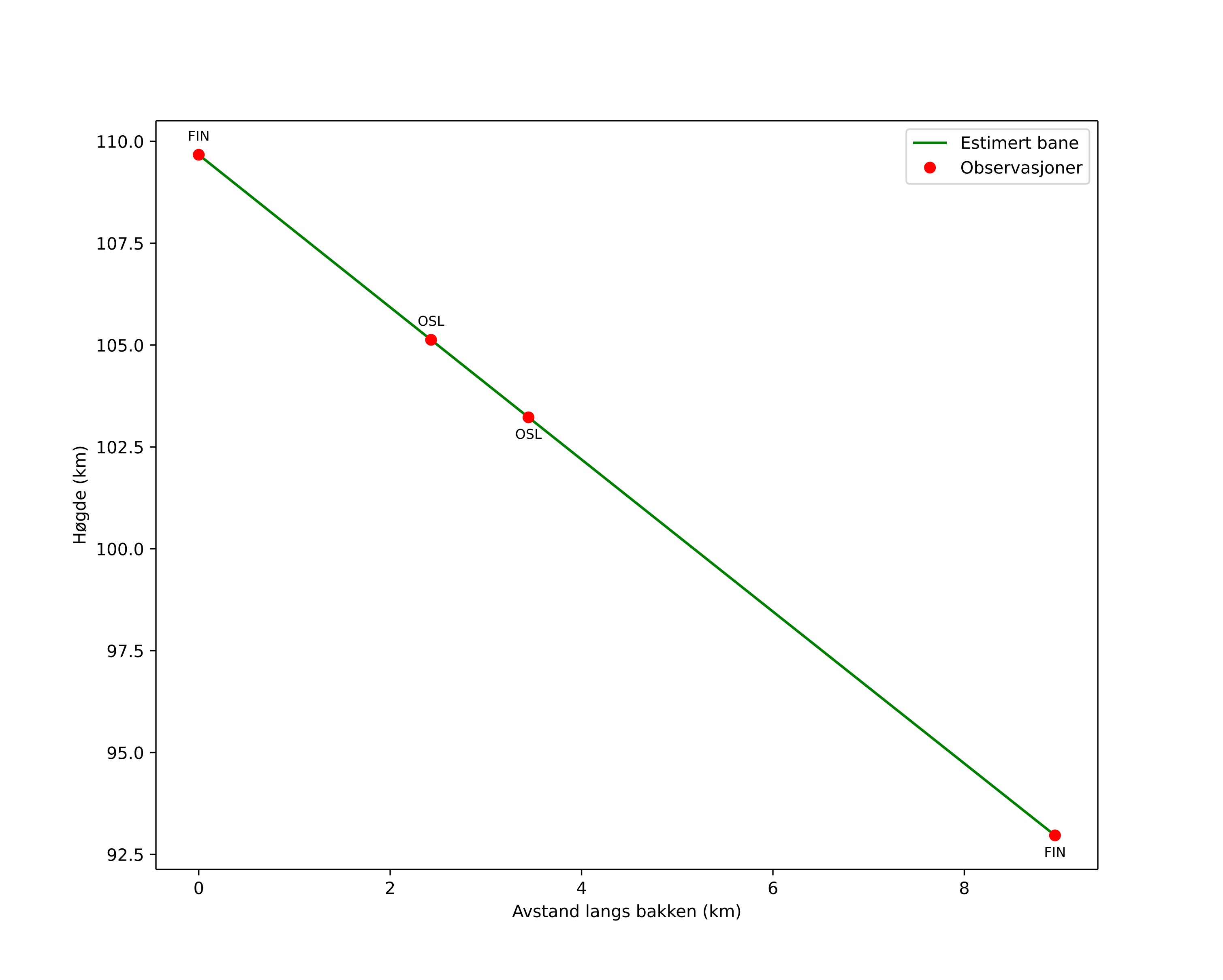
Atmosférická dráha meteoru:
| Počátečnà výška: | 110,2 km |
| Konečná výška: | 93,3 km |
| Počátečnà poloha: | 62,921N 8,362E |
| Konečná poloha: | 62,963N 8,208E |
| Směr: | 301,6° |
| Sklon: | 61,6° |
| VstupnĂ rychlost: | 68,3 km/s |
| Rektascenze radiantu: | 10:38 (159,6°) |
| Deklinace radiantu: | 42,0° |
| MeteorickĂ˝ roj: | sporadickĂ˝ |
|
Elementy dráhy meteoroidu:
| Vzdálenost v periheliu: | 0,987 AU |
| Excentricita: | 1,177 |
| Sklon dráhy: | 128,8° |
| Délka vzestupného uzlu: | 235,7° |
| Argument perihelia: | 184,8° |
| Střednà anomálie: | -0,2° |
| Epocha: | 2025 NOV 18 04:05:21 |
|