🇳🇴 🇬🇧 🇩🇪 🇨🇿 🇫🇮

Meteor over Røyken 2025-11-18 04:14:59 UTC

KML-fil  |  Interaktivt kart

Kartet viser peilingene for meteoren. De lysere linjene viser retningene fra observasjonsstedene for meteorens tilsynekomst, og de mørkere linjene viser hvor den sist kunne sees. Den blå pila viser meteorens synlige ferd.

static map
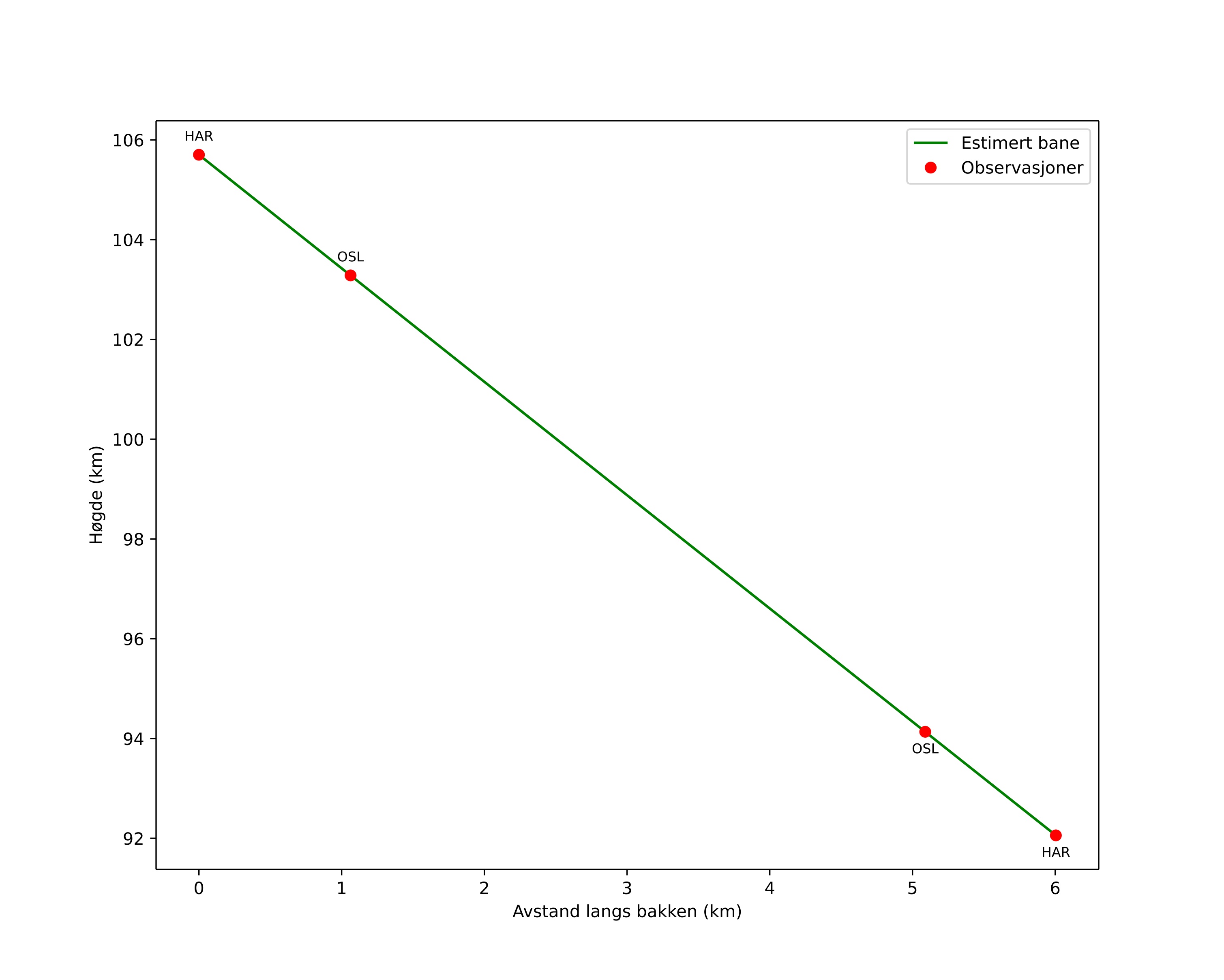
height profile
Meteorens atmosfæriske bane:
Starthøgde: 109,5 km
Slutthøgde: 92,1 km
Startposisjon: 59,643N 10,516E
Sluttposisjon: 59,683N 10,408E
Retning: 305,7°
Fallvinkel: 66,8°
Inngangshastighet: 69,4 km/s
Radiantens rektascensjon: 10:27 (156,8°)
Radiantens deklinasjon: 42,5°
Meteorsverm: sporadisk
Meteoroidens baneelement:
Perihelavstand: 0,980 AU
Eksentrisitet: 1,270
Inklinasjon: 129,8°
Knutelengde: 235,7°
Perihelargument: 190,2°
Midlere anomali: -1,0°
Epoke: 2025 NOV 18 04:14:59
orbit plot

Ikke-interaktivt plott | Interaktivt plott

position vs time
speed and acceleration

Harestua (HAR) cam7


gnomonic
Videoer
• Gnomonisk
• Gnomonisk med koordinater
• Original
• Original med koordinater
Bilder
• Gnomonisk
• Gnomonisk med koordinater
• Original
• Original med koordinater
Tekstfiler
• Deteksjon
• Observasjon
• Koordinater
• Logg
Lysstyrke

Voksenlia (OSL) cam6


gnomonic
Videoer
• Gnomonisk
• Gnomonisk med koordinater
• Original
• Original med koordinater
Bilder
• Gnomonisk
• Gnomonisk med koordinater
• Original
• Original med koordinater
Tekstfiler
• Deteksjon
• Observasjon
• Koordinater
• Logg
Lysstyrke