🇳🇴 🇬🇧 🇩🇪 🇨🇿 🇫🇮

Meteor over Revetal 2025-11-18 04:48:25 UTC

KML-fil  |  Interaktivt kart

Kartet viser peilingene for meteoren. De lysere linjene viser retningene fra observasjonsstedene for meteorens tilsynekomst, og de mørkere linjene viser hvor den sist kunne sees. Den blå pila viser meteorens synlige ferd.

static map
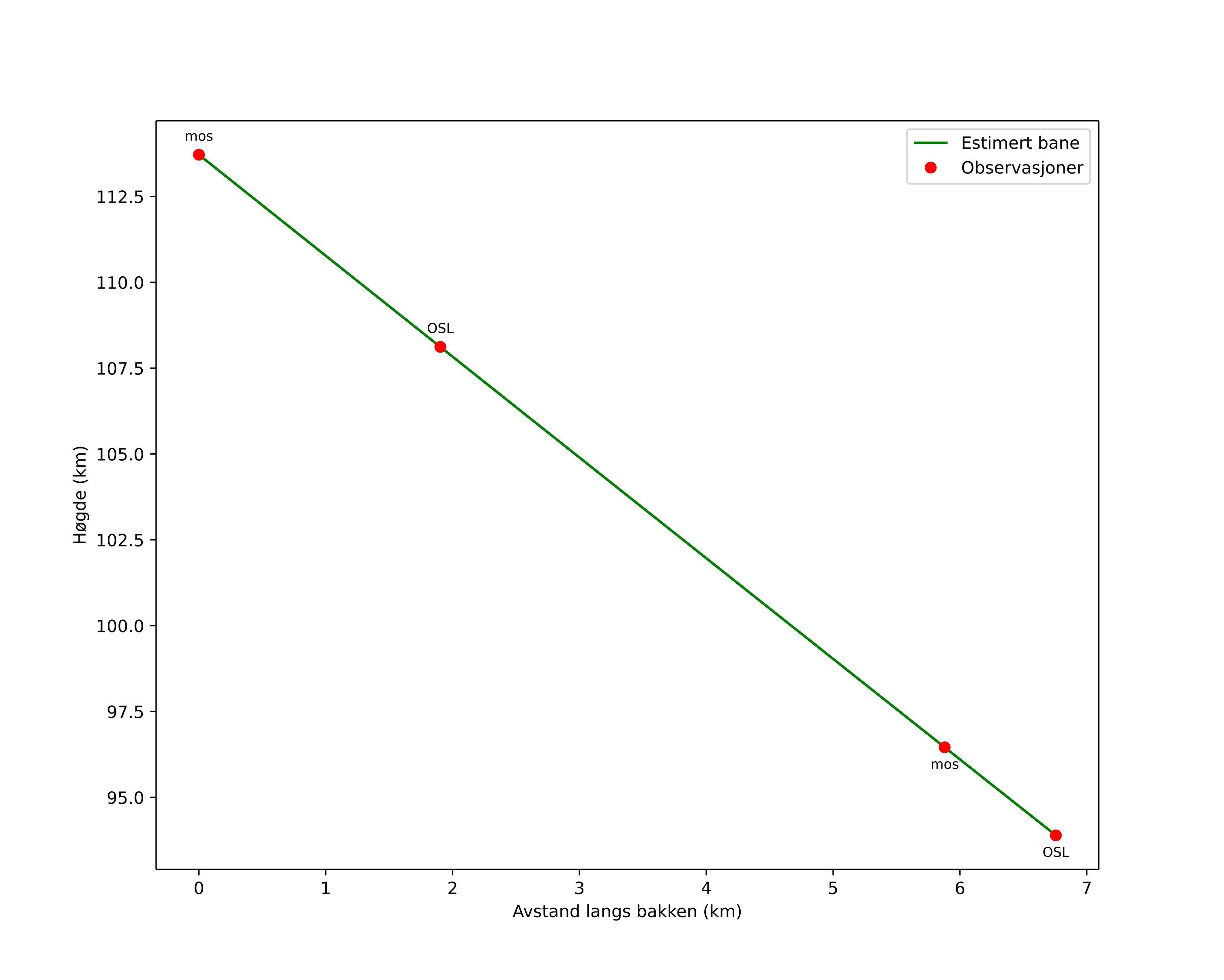
height profile
Meteorens atmosfæriske bane:
Starthøgde: 113,0 km
Slutthøgde: 96,6 km
Startposisjon: 59,283N 10,130E
Sluttposisjon: 59,328N 10,157E
Retning: 16,9°
Fallvinkel: 72,1°
Inngangshastighet: 67,3 km/s
Radiantens rektascensjon: 08:48 (132,0°)
Radiantens deklinasjon: 41,7°
Meteorsverm: sporadisk
Meteoroidens baneelement:
Perihelavstand: 0,708 AU
Eksentrisitet: 1,118
Inklinasjon: 135,3°
Knutelengde: 235,7°
Perihelargument: 242,5°
Midlere anomali: -2,2°
Epoke: 2025 NOV 18 04:48:25
orbit plot

Ikke-interaktivt plott | Interaktivt plott

position vs time
speed and acceleration

Moss (mos) cam7


gnomonic
Videoer
• Gnomonisk
• Gnomonisk med koordinater
• Original
• Original med koordinater
Bilder
• Gnomonisk
• Gnomonisk med koordinater
• Original
• Original med koordinater
Tekstfiler
• Deteksjon
• Observasjon
• Koordinater
• Logg
Lysstyrke

Voksenlia (OSL) cam7


gnomonic
Videoer
• Gnomonisk
• Gnomonisk med koordinater
• Original
• Original med koordinater
Bilder
• Gnomonisk
• Gnomonisk med koordinater
• Original
• Original med koordinater
Tekstfiler
• Deteksjon
• Observasjon
• Koordinater
• Logg
Lysstyrke