🇳🇴 🇬🇧 🇩🇪 🇨🇿 🇫🇮

Meteor, poloha: FlĂĄ 2025-11-19 01:42:10 UTC

Soubor KML  |  InteraktivnĂ­ mapa

Mapa zobrazuje dráhy meteoru. Světlejší čáry ukazují směry od pozorovacích stanic při objevení se meteoru a tmavší čáry, kde byl naposledy viděn. Modrá šipka značí viditelnou dráhu meteoru.

static map
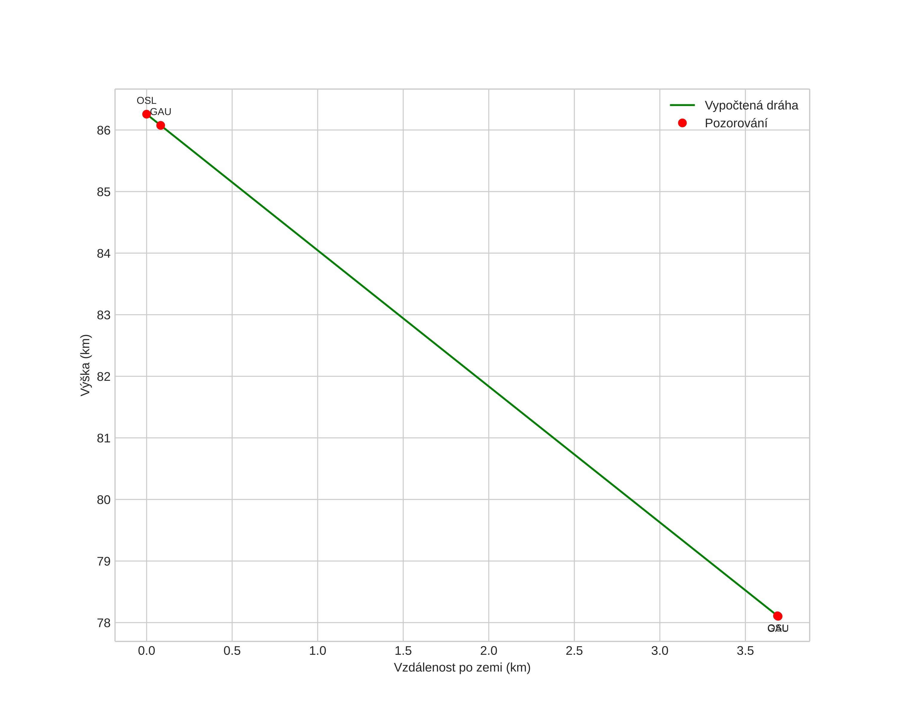
height profile
Atmosférická dráha meteoru:
Počáteční výška: 86,0 km
Konečná výška: 77,4 km
Počáteční poloha: 60,425N 9,329E
Konečná poloha: 60,451N 9,376E
Směr: 41,6°
Sklon: 65,6°
VstupnĂ­ rychlost: 40,2 km/s
Rektascenze radiantu: 04:44 (71,2°)
Deklinace radiantu: 39,1°
MeteorickĂ˝ roj: sporadickĂ˝
Elementy dráhy meteoroidu:
Vzdálenost v periheliu: 0,259 AU
Excentricita: 0,982
Sklon dráhy: 30,9°
Délka vzestupného uzlu: 236,6°
Argument perihelia: 299,4°
Střední anomálie: 359,3°
Epocha: 2025 NOV 19 01:42:10
orbit plot

NeinteraktivnĂ­ graf | InteraktivnĂ­ graf

position vs time
speed and acceleration

Gaustatoppen (GAU) cam6


gnomonic
Videa
• Gnomonická
• Gnomonická se souřadnicemi
• Původní
• Původní se souřadnicemi
Obrázky
• Gnomonická
• Gnomonická se souřadnicemi
• Původní
• Původní se souřadnicemi
Textové soubory
• Detekce
• Pozorování
• Souřadnice
• Protokol
Jasnost

Voksenlia (OSL) cam2


gnomonic
Videa
• Gnomonická
• Gnomonická se souřadnicemi
• Původní
• Původní se souřadnicemi
Obrázky
• Gnomonická
• Gnomonická se souřadnicemi
• Původní
• Původní se souřadnicemi
Textové soubory
• Detekce
• Pozorování
• Souřadnice
• Protokol
Jasnost