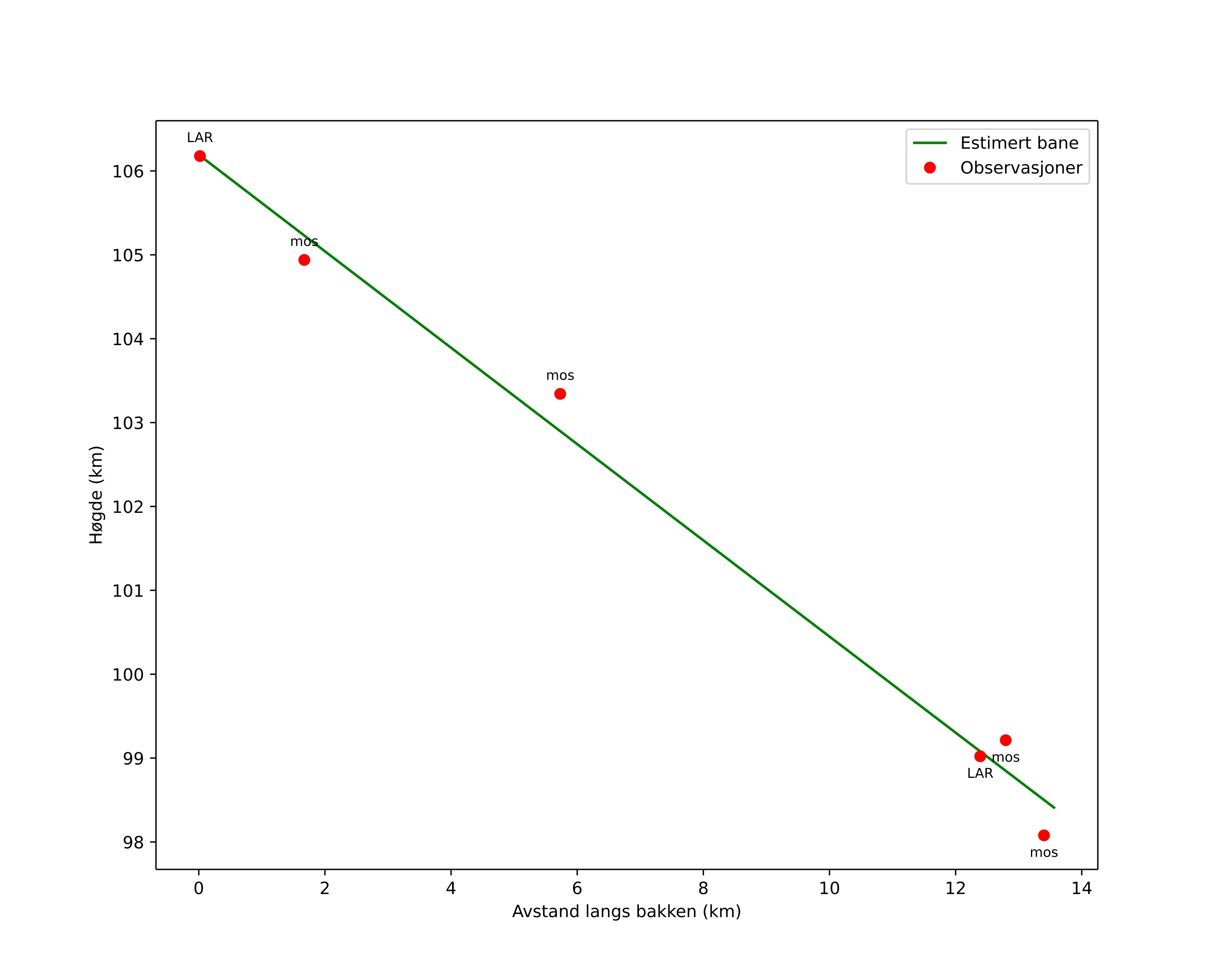
Atmosphärische Bahn des Meteors:
| Anfangshöhe: | 107,7 km |
| Endhöhe: | 99,8 km |
| Startposition: | 58,721N 11,709E |
| Endposition: | 58,697N 11,466E |
| Richtung: | 259,5° |
| Neigungswinkel: | 28,9° |
| Eintrittsgeschwindigkeit: | 41,2 km/s |
| Rektaszension des Radianten: | 15:08 (227,2°) |
| Deklination des Radianten: | 29,0° |
| Meteorstrom: | sporadisch |
|
Bahnelemente des Meteoroiden:
| Periheldistanz: | 0,624 AU |
| Exzentrizität: | 0,992 |
| Inklination: | 55,3° |
| Länge des aufsteigenden Knotens: | 236,8° |
| Argument des Perihels: | 105,0° |
| Mittlere Anomalie: | 0,1° |
| Epoche: | 2025 NOV 19 04:56:53 |
|