🇳🇴 🇬🇧 🇩🇪 🇨🇿 🇫🇮

Meteor over Larsnes 2025-11-19 05:28:28 UTC

KML-fil  |  Interaktivt kart

Kartet viser peilingene for meteoren. De lysere linjene viser retningene fra observasjonsstedene for meteorens tilsynekomst, og de mørkere linjene viser hvor den sist kunne sees. Den blå pila viser meteorens synlige ferd.

static map
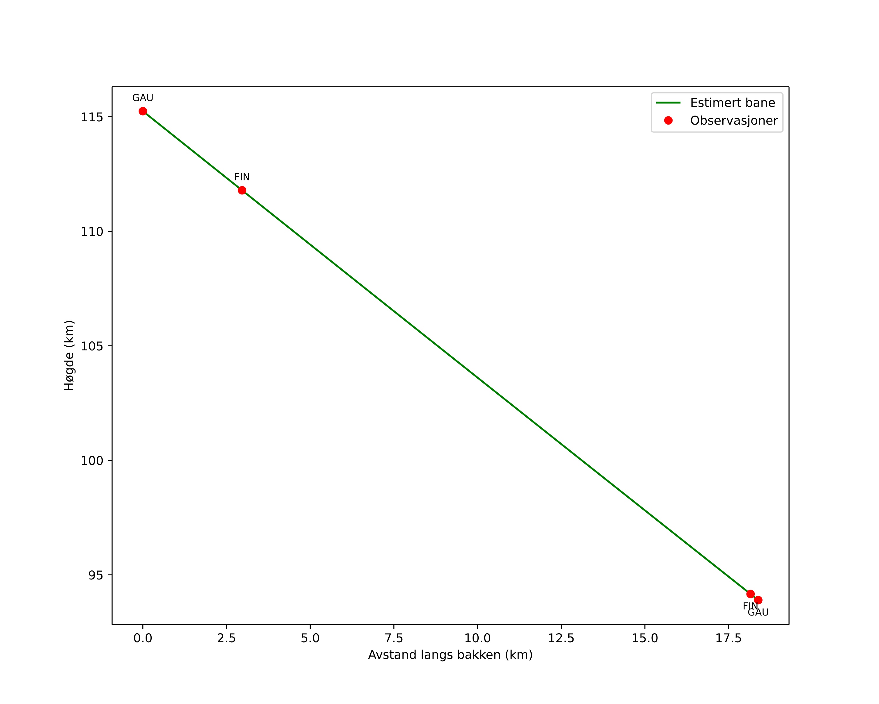
height profile
Meteorens atmosfæriske bane:
Starthøgde: 115,0 km
Slutthøgde: 93,2 km
Startposisjon: 62,069N 5,472E
Sluttposisjon: 62,234N 5,388E
Retning: 346,7°
Fallvinkel: 49,1°
Inngangshastighet: 66,3 km/s
Radiantens rektascensjon: 10:19 (154,8°)
Radiantens deklinasjon: 21,4°
Meteorsverm: Leonidene
Meteoroidens baneelement:
Perihelavstand: 0,984 AU
Eksentrisitet: 0,452
Inklinasjon: 161,2°
Knutelengde: 236,8°
Perihelargument: 170,0°
Midlere anomali: 3,4°
Epoke: 2025 NOV 19 05:28:28
orbit plot

Ikke-interaktivt plott | Interaktivt plott

position vs time
speed and acceleration

Finnskogen (FIN) cam5


gnomonic
Videoer
• Gnomonisk
• Gnomonisk med koordinater
• Original
• Original med koordinater
Bilder
• Gnomonisk
• Gnomonisk med koordinater
• Original
• Original med koordinater
Tekstfiler
• Deteksjon
• Observasjon
• Koordinater
• Logg
Lysstyrke

Gaustatoppen (GAU) cam1


gnomonic
Videoer
• Gnomonisk
• Gnomonisk med koordinater
• Original
• Original med koordinater
Bilder
• Gnomonisk
• Gnomonisk med koordinater
• Original
• Original med koordinater
Tekstfiler
• Deteksjon
• Observasjon
• Koordinater
• Logg
Lysstyrke