🇳🇴 🇬🇧 🇩🇪 🇨🇿 🇫🇮

Meteor over Strömstad 2025-11-20 00:35:20 UTC

KML-fil  |  Interaktivt kart

Kartet viser peilingene for meteoren. De lysere linjene viser retningene fra observasjonsstedene for meteorens tilsynekomst, og de mørkere linjene viser hvor den sist kunne sees. Den blå pila viser meteorens synlige ferd.

static map
height profile
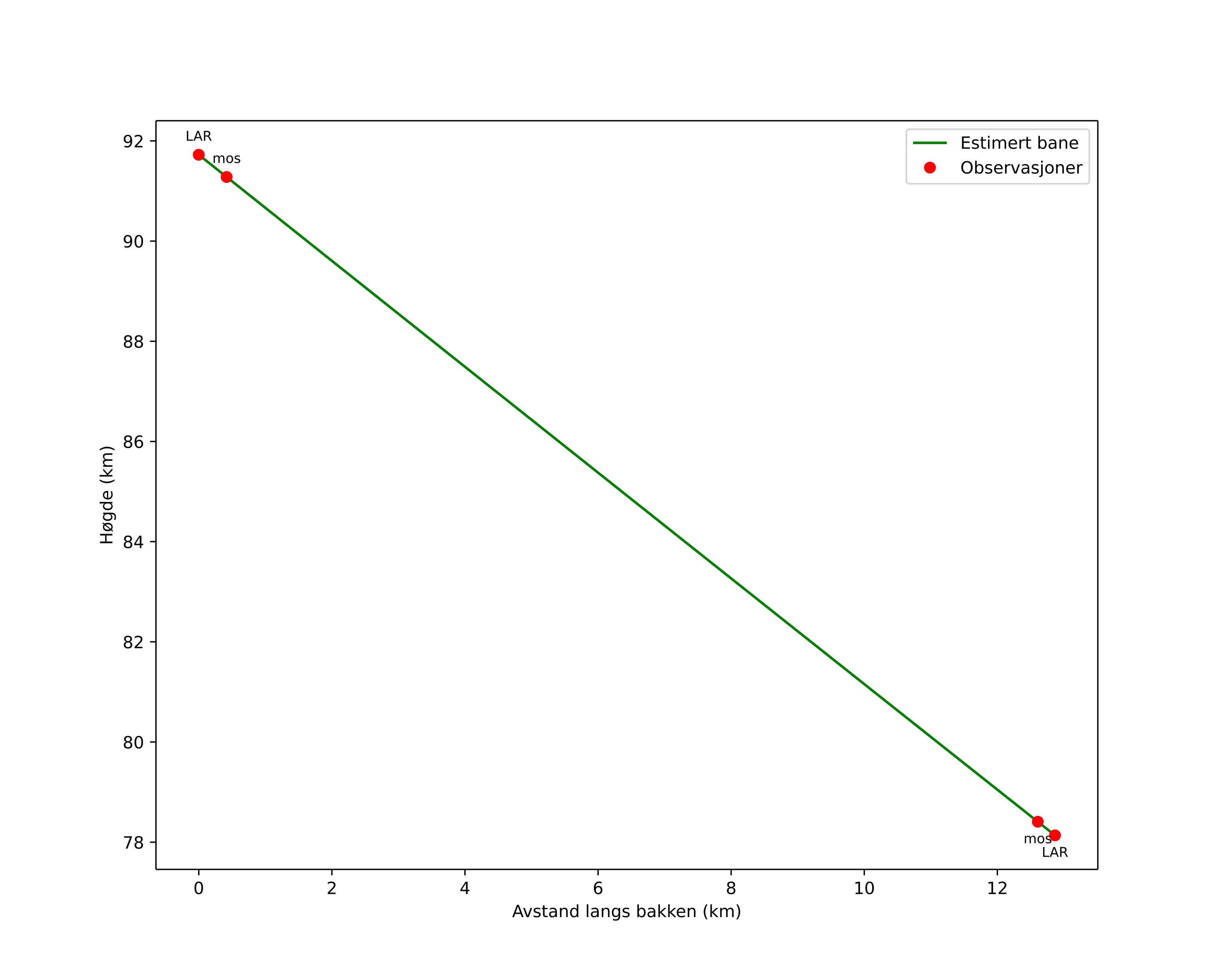
Meteorens atmosfæriske bane:
Starthøgde: 91,7 km
Slutthøgde: 78,1 km
Startposisjon: 58,670N 10,931E
Sluttposisjon: 58,773N 11,030E
Retning: 26,4°
Fallvinkel: 46,6°
Inngangshastighet: 25,0 km/s
Radiantens rektascensjon: 03:55 (58,8°)
Radiantens deklinasjon: 14,8°
Meteorsverm: Sørlige tauridene
Meteoroidens baneelement:
Perihelavstand: 0,545 AU
Eksentrisitet: 0,743
Inklinasjon: 4,1°
Knutelengde: 57,6°
Perihelargument: 93,0°
Midlere anomali: 345,5°
Epoke: 2025 NOV 20 00:35:20
orbit plot

Ikke-interaktivt plott | Interaktivt plott

position vs time
speed and acceleration

Larvik (LAR) cam7


gnomonic
Videoer
• Gnomonisk
• Gnomonisk med koordinater
• Original
• Original med koordinater
Bilder
• Gnomonisk
• Gnomonisk med koordinater
• Original
• Original med koordinater
Tekstfiler
• Deteksjon
• Observasjon
• Koordinater
• Logg
Lysstyrke

Moss (mos) cam7


gnomonic
Videoer
• Gnomonisk
• Gnomonisk med koordinater
• Original
• Original med koordinater
Bilder
• Gnomonisk
• Gnomonisk med koordinater
• Original
• Original med koordinater
Tekstfiler
• Deteksjon
• Observasjon
• Koordinater
• Logg
Lysstyrke