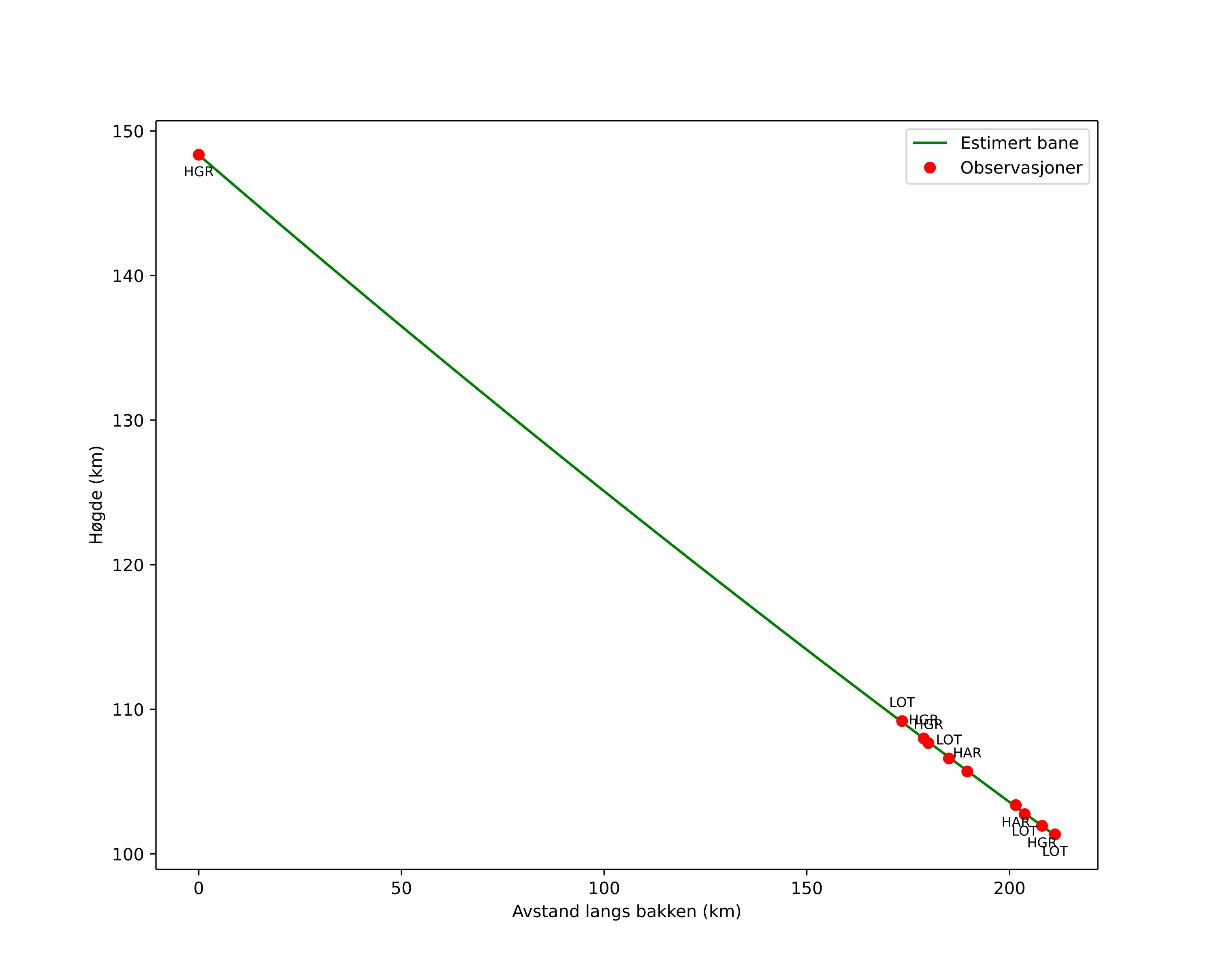
Atmosphärische Bahn des Meteors:
| Anfangshöhe: | 148,3 km |
| Endhöhe: | 101,3 km |
| Startposition: | 58,627N 7,615E |
| Endposition: | 60,518N 7,967E |
| Richtung: | 5,2° |
| Neigungswinkel: | 12,5° |
| Eintrittsgeschwindigkeit: | 55,3 km/s |
| Rektaszension des Radianten: | 07:11 (107,9°) |
| Deklination des Radianten: | -19,6° |
| Meteorstrom: | sporadisch |
|
Bahnelemente des Meteoroiden:
| Periheldistanz: | 0,701 AU |
| Exzentrizität: | 1,051 |
| Inklination: | 94,9° |
| Länge des aufsteigenden Knotens: | 57,7° |
| Argument des Perihels: | 64,4° |
| Mittlere Anomalie: | -0,7° |
| Epoche: | 2025 NOV 20 03:07:54 |
|