🇳🇴 🇬🇧 🇩🇪 🇨🇿 🇫🇮

Meteor over Røros 2025-11-20 03:38:21 UTC

KML-fil  |  Interaktivt kart

Kartet viser peilingene for meteoren. De lysere linjene viser retningene fra observasjonsstedene for meteorens tilsynekomst, og de mørkere linjene viser hvor den sist kunne sees. Den blå pila viser meteorens synlige ferd.

static map
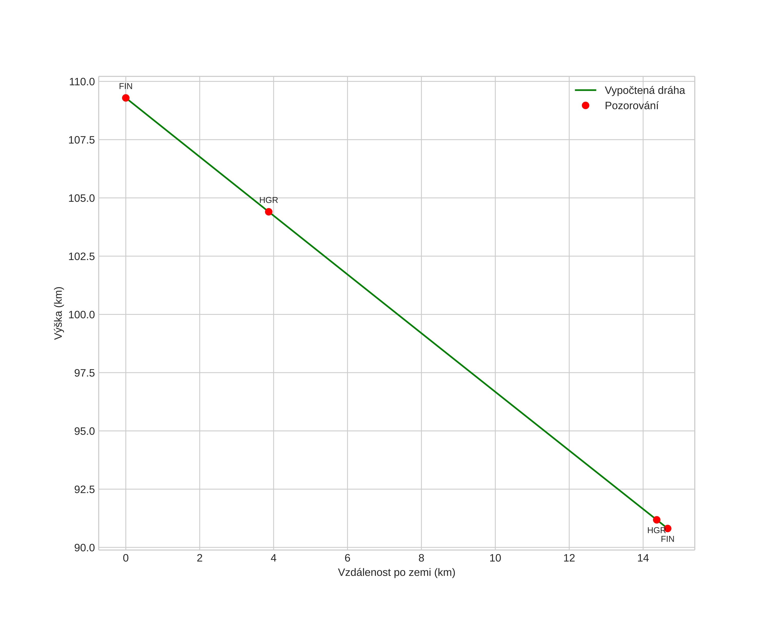
height profile
Meteorens atmosfæriske bane:
Starthøgde: 109,3 km
Slutthøgde: 90,8 km
Startposisjon: 62,472N 11,730E
Sluttposisjon: 62,436N 11,456E
Retning: 254,2°
Fallvinkel: 51,6°
Inngangshastighet: 52,9 km/s
Radiantens rektascensjon: 13:04 (196,0°)
Radiantens deklinasjon: 50,6°
Meteorsverm: sporadisk
Meteoroidens baneelement:
Perihelavstand: 0,927 AU
Eksentrisitet: 0,918
Inklinasjon: 90,7°
Knutelengde: 237,7°
Perihelargument: 150,5°
Midlere anomali: 0,5°
Epoke: 2025 NOV 20 03:38:21
orbit plot

Ikke-interaktivt plott | Interaktivt plott

position vs time
speed and acceleration

Finnskogen (FIN) cam1


gnomonic
Videoer
• Gnomonisk
• Gnomonisk med koordinater
• Original
• Original med koordinater
Bilder
• Gnomonisk
• Gnomonisk med koordinater
• Original
• Original med koordinater
Tekstfiler
• Deteksjon
• Observasjon
• Koordinater
• Logg
Lysstyrke

Hagar (HGR) cam2


gnomonic
Videoer
• Gnomonisk
• Gnomonisk med koordinater
• Original
• Original med koordinater
Bilder
• Gnomonisk
• Gnomonisk med koordinater
• Original
• Original med koordinater
Tekstfiler
• Deteksjon
• Observasjon
• Koordinater
• Logg
Lysstyrke