Atmosphärische Bahn des Meteors:
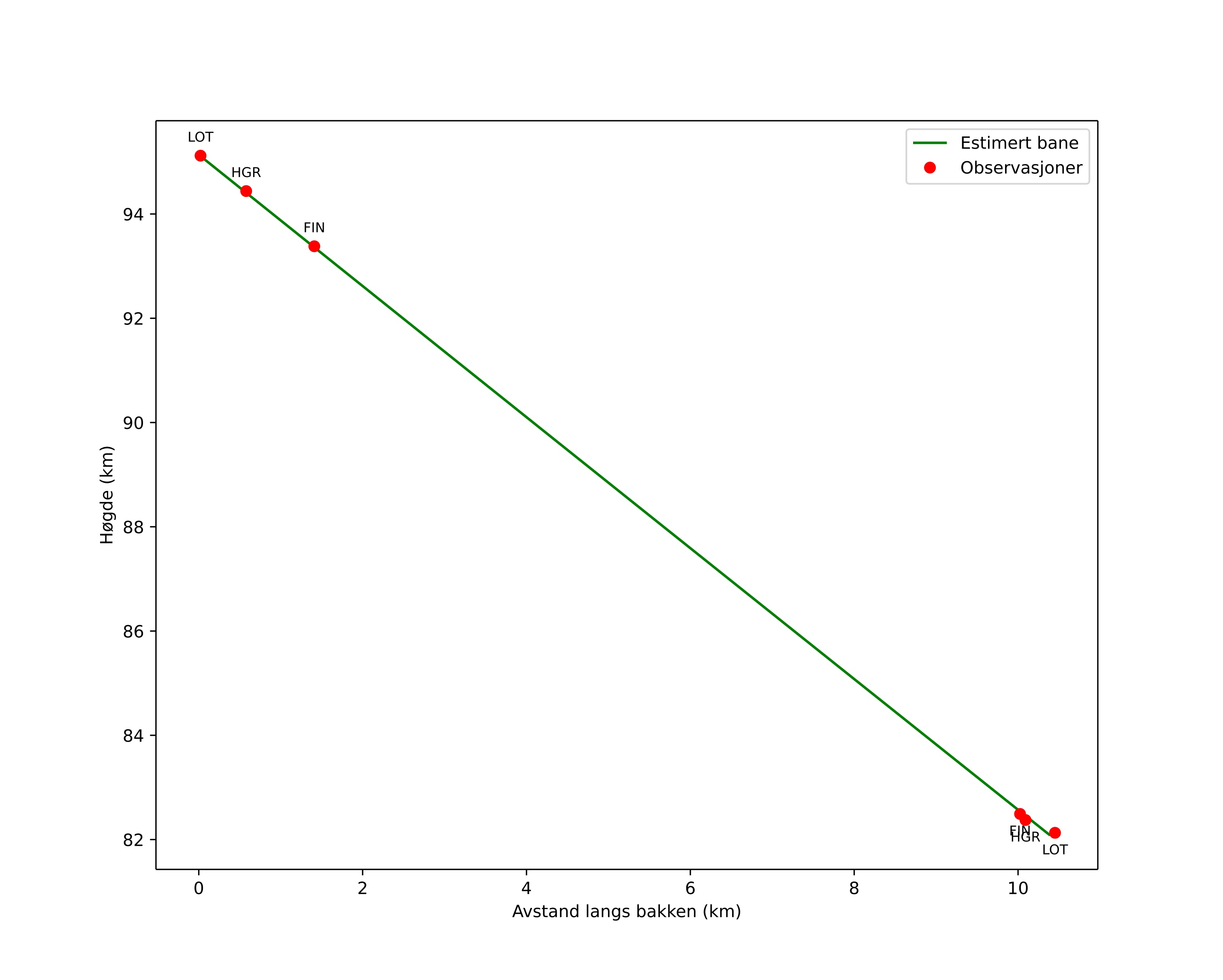
| Anfangshöhe: | 95,1 km |
| Endhöhe: | 82,1 km |
| Startposition: | 60,327N 13,915E |
| Endposition: | 60,267N 13,770E |
| Richtung: | 230,4° |
| Neigungswinkel: | 51,4° |
| Eintrittsgeschwindigkeit: | 34,3 km/s |
| Rektaszension des Radianten: | 15:56 (239,0°) |
| Deklination des Radianten: | 60,8° |
| Meteorstrom: | sporadisch |
|
Bahnelemente des Meteoroiden:
| Periheldistanz: | 0,970 AU |
| Exzentrizität: | 0,758 |
| Inklination: | 52,6° |
| Länge des aufsteigenden Knotens: | 237,8° |
| Argument des Perihels: | 163,4° |
| Mittlere Anomalie: | 1,5° |
| Epoche: | 2025 NOV 20 05:16:30 |
|