🇳🇴 🇬🇧 🇩🇪 🇨🇿 🇫🇮

Meteor over Askersund 2025-11-20 20:03:39 UTC

KML-fil  |  Interaktivt kart

Kartet viser peilingene for meteoren. De lysere linjene viser retningene fra observasjonsstedene for meteorens tilsynekomst, og de mørkere linjene viser hvor den sist kunne sees. Den blå pila viser meteorens synlige ferd.

static map
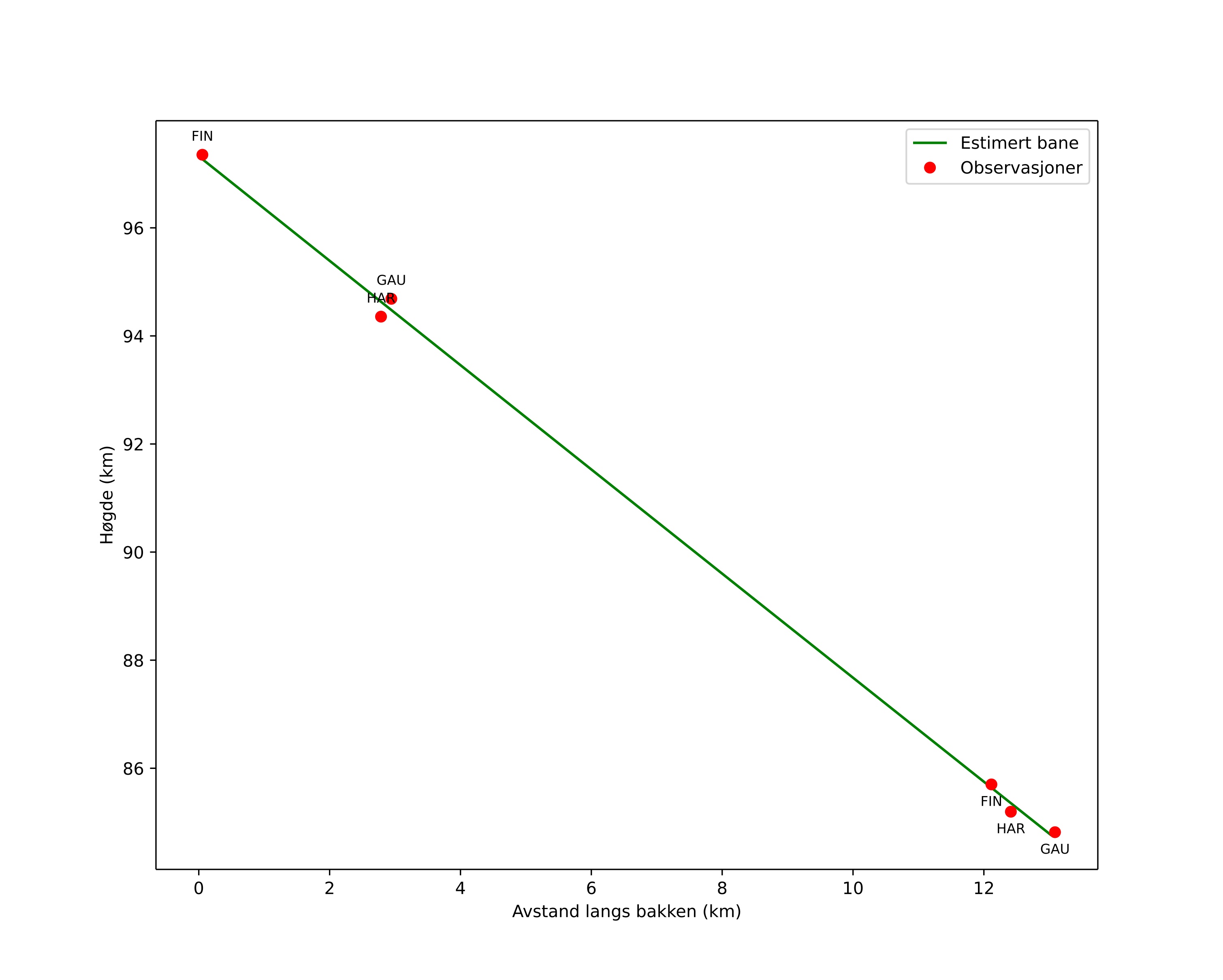
height profile
Meteorens atmosfæriske bane:
Starthøgde: 97,3 km
Slutthøgde: 84,8 km
Startposisjon: 58,962N 14,996E
Sluttposisjon: 58,847N 14,952E
Retning: 191,1°
Fallvinkel: 43,8°
Inngangshastighet: 49,6 km/s
Radiantens rektascensjon: 11:11 (167,8°)
Radiantens deklinasjon: 73,1°
Meteorsverm: sporadisk
Meteoroidens baneelement:
Perihelavstand: 0,925 AU
Eksentrisitet: 1,090
Inklinasjon: 79,8°
Knutelengde: 238,4°
Perihelargument: 208,5°
Midlere anomali: -0,6°
Epoke: 2025 NOV 20 20:03:39
orbit plot

Ikke-interaktivt plott | Interaktivt plott

position vs time
speed and acceleration

Finnskogen (FIN) cam3


gnomonic
Videoer
• Gnomonisk
• Gnomonisk med koordinater
• Original
• Original med koordinater
Bilder
• Gnomonisk
• Gnomonisk med koordinater
• Original
• Original med koordinater
Tekstfiler
• Deteksjon
• Observasjon
• Koordinater
• Logg
Lysstyrke

Gaustatoppen (GAU) cam3


gnomonic
Videoer
• Gnomonisk
• Gnomonisk med koordinater
• Original
• Original med koordinater
Bilder
• Gnomonisk
• Gnomonisk med koordinater
• Original
• Original med koordinater
Tekstfiler
• Deteksjon
• Observasjon
• Koordinater
• Logg
Lysstyrke

Harestua (HAR) cam3


gnomonic
Videoer
• Gnomonisk
• Gnomonisk med koordinater
• Original
• Original med koordinater
Bilder
• Gnomonisk
• Gnomonisk med koordinater
• Original
• Original med koordinater
Tekstfiler
• Deteksjon
• Observasjon
• Koordinater
• Logg
Lysstyrke