🇳🇴 🇬🇧 🇩🇪 🇨🇿 🇫🇮

Meteor over VÃ¥ler 2025-11-20 20:25:04 UTC

KML-fil  |  Interaktivt kart

Kartet viser peilingene for meteoren. De lysere linjene viser retningene fra observasjonsstedene for meteorens tilsynekomst, og de mørkere linjene viser hvor den sist kunne sees. Den blå pila viser meteorens synlige ferd.

static map
height profile
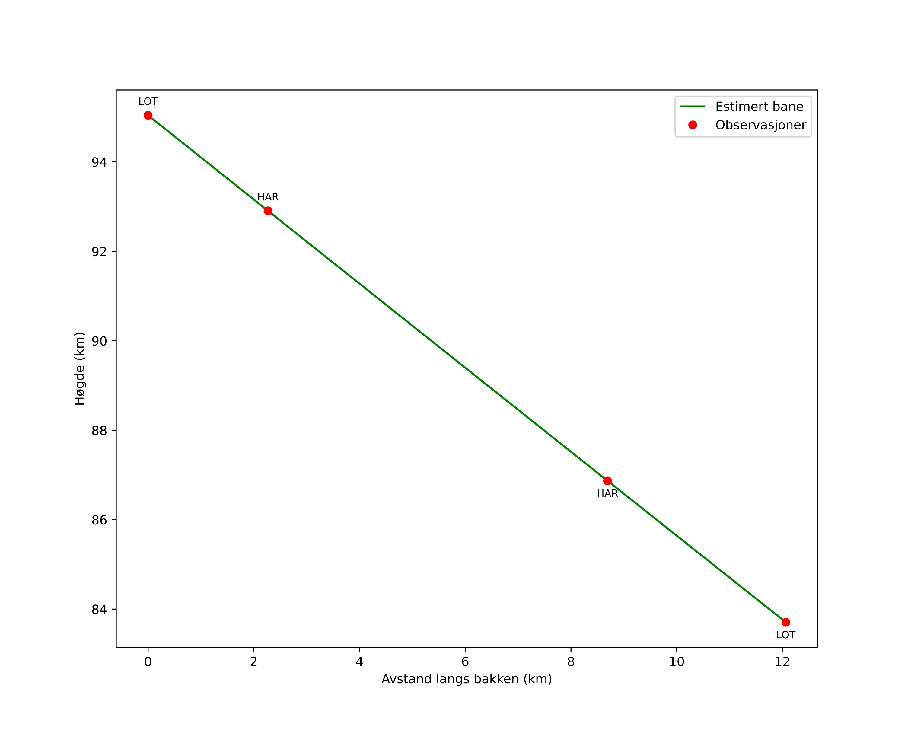
Meteorens atmosfæriske bane:
Starthøgde: 95,0 km
Slutthøgde: 83,7 km
Startposisjon: 60,605N 11,802E
Sluttposisjon: 60,652N 11,603E
Retning: 296,1°
Fallvinkel: 43,1°
Inngangshastighet: 27,8 km/s
Radiantens rektascensjon: 04:20 (65,2°)
Radiantens deklinasjon: 24,1°
Meteorsverm: Nordlige tauridene
Meteoroidens baneelement:
Perihelavstand: 0,426 AU
Eksentrisitet: 0,774
Inklinasjon: 2,5°
Knutelengde: 238,3°
Perihelargument: 287,8°
Midlere anomali: 342,9°
Epoke: 2025 NOV 20 20:25:04
orbit plot

Ikke-interaktivt plott | Interaktivt plott

position vs time
speed and acceleration

Harestua (HAR) cam6


gnomonic
Videoer
• Gnomonisk
• Gnomonisk med koordinater
• Original
• Original med koordinater
Bilder
• Gnomonisk
• Gnomonisk med koordinater
• Original
• Original med koordinater
Tekstfiler
• Deteksjon
• Observasjon
• Koordinater
• Logg
Lysstyrke

Loten (LOT) cam7


gnomonic
Videoer
• Gnomonisk
• Gnomonisk med koordinater
• Original
• Original med koordinater
Bilder
• Gnomonisk
• Gnomonisk med koordinater
• Original
• Original med koordinater
Tekstfiler
• Deteksjon
• Observasjon
• Koordinater
• Logg
Lysstyrke