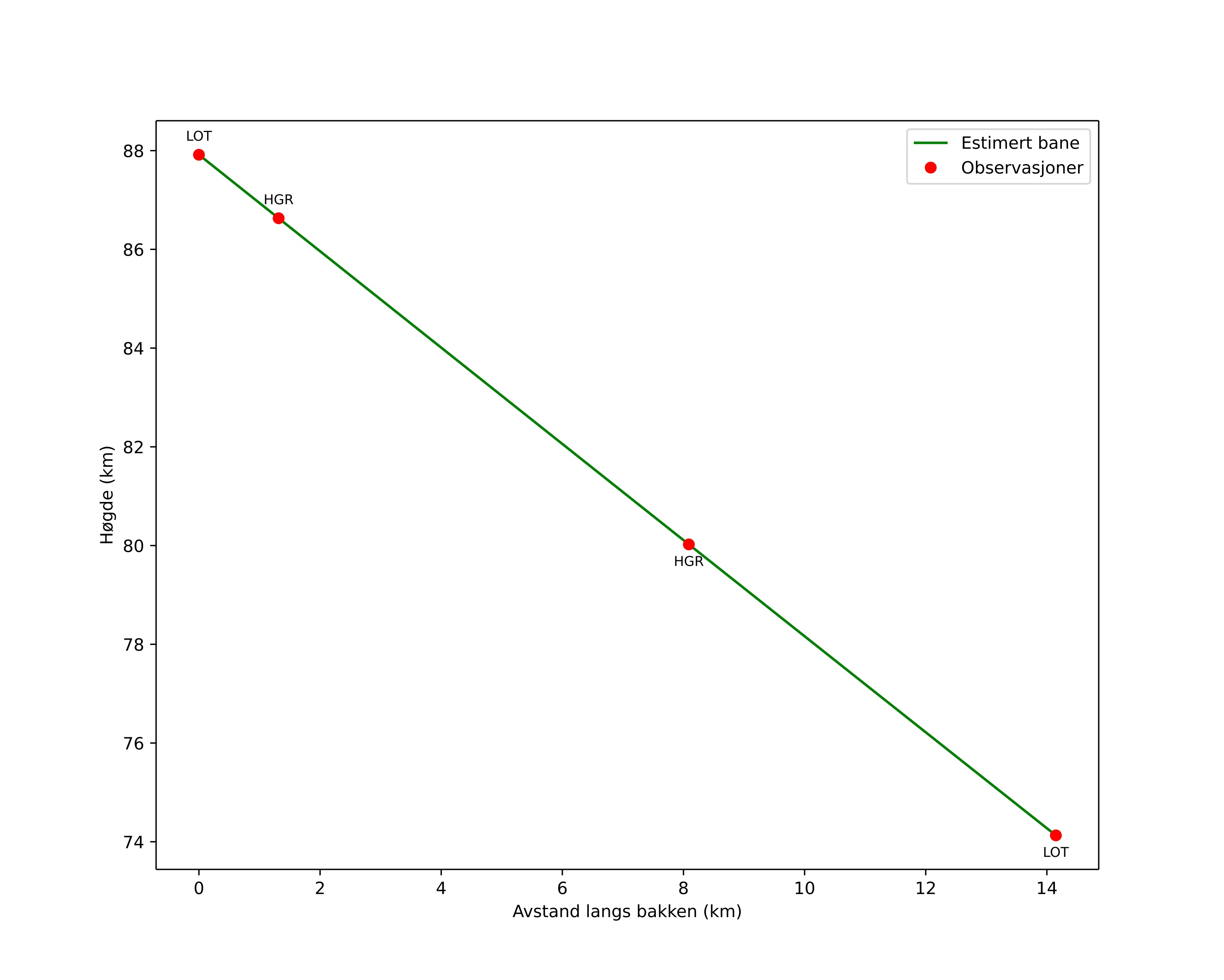
Atmosférická dráha meteoru:
| Počátečnà výška: | 87,9 km |
| Konečná výška: | 74,1 km |
| Počátečnà poloha: | 60,850N 12,893E |
| Konečná poloha: | 60,750N 13,056E |
| Směr: | 141,2° |
| Sklon: | 44,3° |
| VstupnĂ rychlost: | 24,8 km/s |
| Rektascenze radiantu: | 18:31 (278,0°) |
| Deklinace radiantu: | 59,3° |
| MeteorickĂ˝ roj: | sporadickĂ˝ |
|
Elementy dráhy meteoroidu:
| Vzdálenost v periheliu: | 0,987 AU |
| Excentricita: | 0,750 |
| Sklon dráhy: | 33,8° |
| Délka vzestupného uzlu: | 238,4° |
| Argument perihelia: | 176,1° |
| Střednà anomálie: | 0,4° |
| Epocha: | 2025 NOV 20 21:04:44 |
|