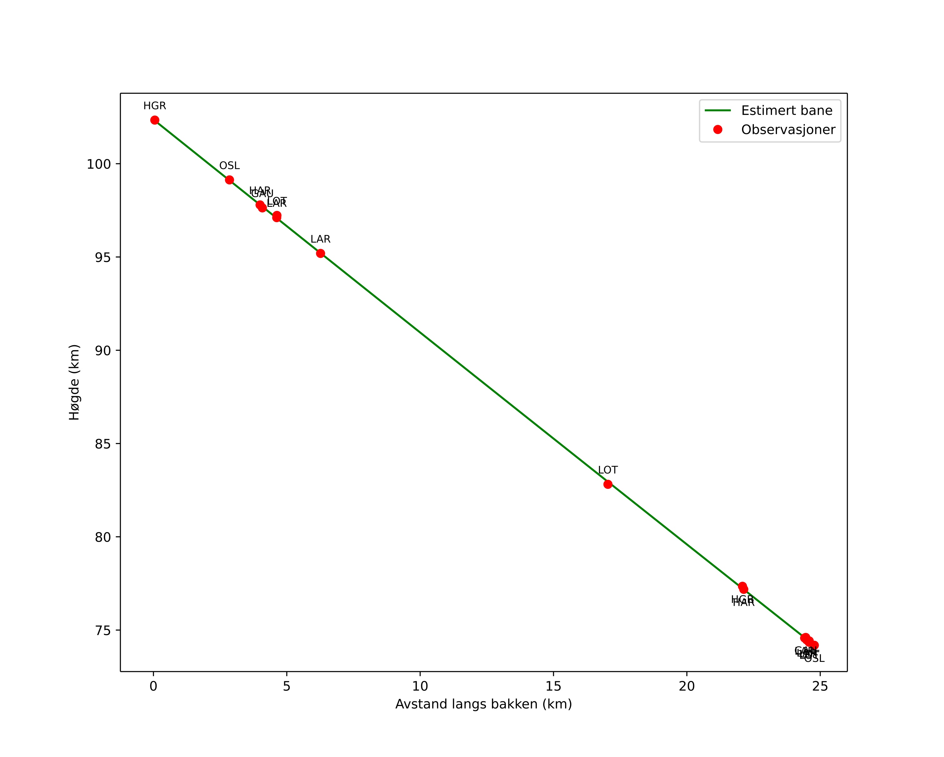
Atmosférická dráha meteoru:
| Počátečnà výška: | 102,4 km |
| Konečná výška: | 74,2 km |
| Počátečnà poloha: | 60,083N 11,184E |
| Konečná poloha: | 60,226N 10,840E |
| Směr: | 310,0° |
| Sklon: | 48,7° |
| VstupnĂ rychlost: | 28,6 km/s |
| Rektascenze radiantu: | 04:19 (64,9°) |
| Deklinace radiantu: | 24,4° |
| MeteorickĂ˝ roj: | SevernĂ Tauridy |
|
Elementy dráhy meteoroidu:
| Vzdálenost v periheliu: | 0,419 AU |
| Excentricita: | 0,800 |
| Sklon dráhy: | 3,0° |
| Délka vzestupného uzlu: | 238,4° |
| Argument perihelia: | 287,2° |
| Střednà anomálie: | 345,8° |
| Epocha: | 2025 NOV 20 21:17:58 |
|