🇳🇴 🇬🇧 🇩🇪 🇨🇿 🇫🇮

Meteor over Vang 2025-11-20 21:50:39 UTC

KML-fil  |  Interaktivt kart

Kartet viser peilingene for meteoren. De lysere linjene viser retningene fra observasjonsstedene for meteorens tilsynekomst, og de mørkere linjene viser hvor den sist kunne sees. Den blå pila viser meteorens synlige ferd.

static map
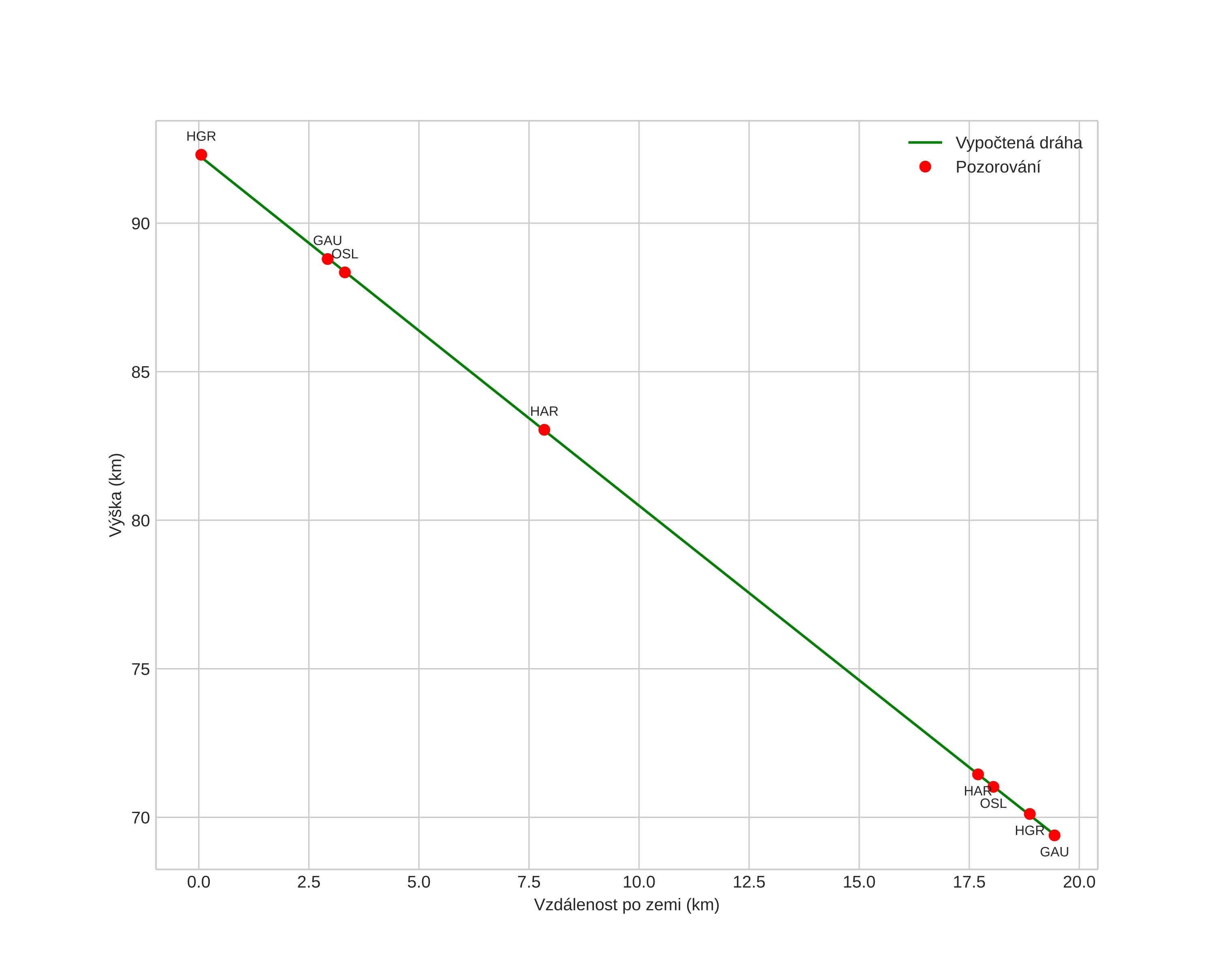
height profile
Meteorens atmosfæriske bane:
Starthøgde: 92,3 km
Slutthøgde: 69,4 km
Startposisjon: 60,897N 8,434E
Sluttposisjon: 61,024N 8,187E
Retning: 316,8°
Fallvinkel: 49,7°
Inngangshastighet: 29,9 km/s
Radiantens rektascensjon: 04:21 (65,4°)
Radiantens deklinasjon: 24,4°
Meteorsverm: Nordlige tauridene
Meteoroidens baneelement:
Perihelavstand: 0,398 AU
Eksentrisitet: 0,833
Inklinasjon: 3,0°
Knutelengde: 238,4°
Perihelargument: 288,3°
Midlere anomali: 348,6°
Epoke: 2025 NOV 20 21:50:39
orbit plot

Ikke-interaktivt plott | Interaktivt plott

position vs time
speed and acceleration

Gaustatoppen (GAU) cam1


gnomonic
Videoer
• Gnomonisk
• Gnomonisk med koordinater
• Original
• Original med koordinater
Bilder
• Gnomonisk
• Gnomonisk med koordinater
• Original
• Original med koordinater
Tekstfiler
• Deteksjon
• Observasjon
• Koordinater
• Logg
Lysstyrke

Hagar (HGR) cam1


gnomonic
Videoer
• Gnomonisk
• Gnomonisk med koordinater
• Original
• Original med koordinater
Bilder
• Gnomonisk
• Gnomonisk med koordinater
• Original
• Original med koordinater
Tekstfiler
• Deteksjon
• Observasjon
• Koordinater
• Logg
Lysstyrke

Harestua (HAR) cam5


gnomonic
Videoer
• Gnomonisk
• Gnomonisk med koordinater
• Original
• Original med koordinater
Bilder
• Gnomonisk
• Gnomonisk med koordinater
• Original
• Original med koordinater
Tekstfiler
• Deteksjon
• Observasjon
• Koordinater
• Logg
Lysstyrke

Voksenlia (OSL) cam2


gnomonic
Videoer
• Gnomonisk
• Gnomonisk med koordinater
• Original
• Original med koordinater
Bilder
• Gnomonisk
• Gnomonisk med koordinater
• Original
• Original med koordinater
Tekstfiler
• Deteksjon
• Observasjon
• Koordinater
• Logg
Lysstyrke