🇳🇴 🇬🇧 🇩🇪 🇨🇿 🇫🇮

Meteor, poloha: Lena 2025-11-20 23:13:44 UTC

Soubor KML  |  Interaktivní mapa

Mapa zobrazuje dráhy meteoru. Světlejší čáry ukazují směry od pozorovacích stanic při objevení se meteoru a tmavší čáry, kde byl naposledy viděn. Modrá šipka značí viditelnou dráhu meteoru.

static map
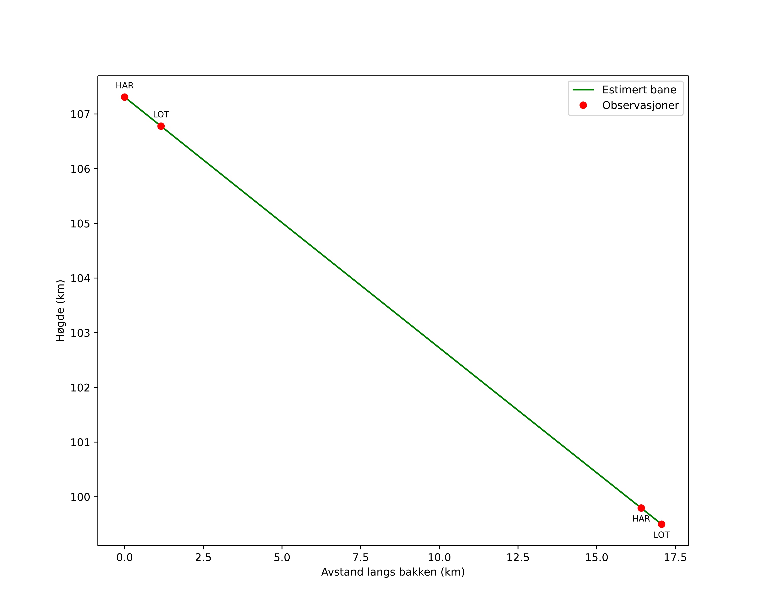
height profile
Atmosférická dráha meteoru:
Počáteční výška: 107,3 km
Konečná výška: 99,5 km
Počáteční poloha: 60,532N 11,046E
Konečná poloha: 60,565N 10,741E
Směr: 282,6°
Sklon: 24,6°
position vs time
speed and acceleration