🇳🇴 🇬🇧 🇩🇪 🇨🇿 🇫🇮

Meteor over Notodden 2025-11-21 00:05:24 UTC

KML-fil  |  Interaktivt kart

Kartet viser peilingene for meteoren. De lysere linjene viser retningene fra observasjonsstedene for meteorens tilsynekomst, og de mørkere linjene viser hvor den sist kunne sees. Den blå pila viser meteorens synlige ferd.

static map
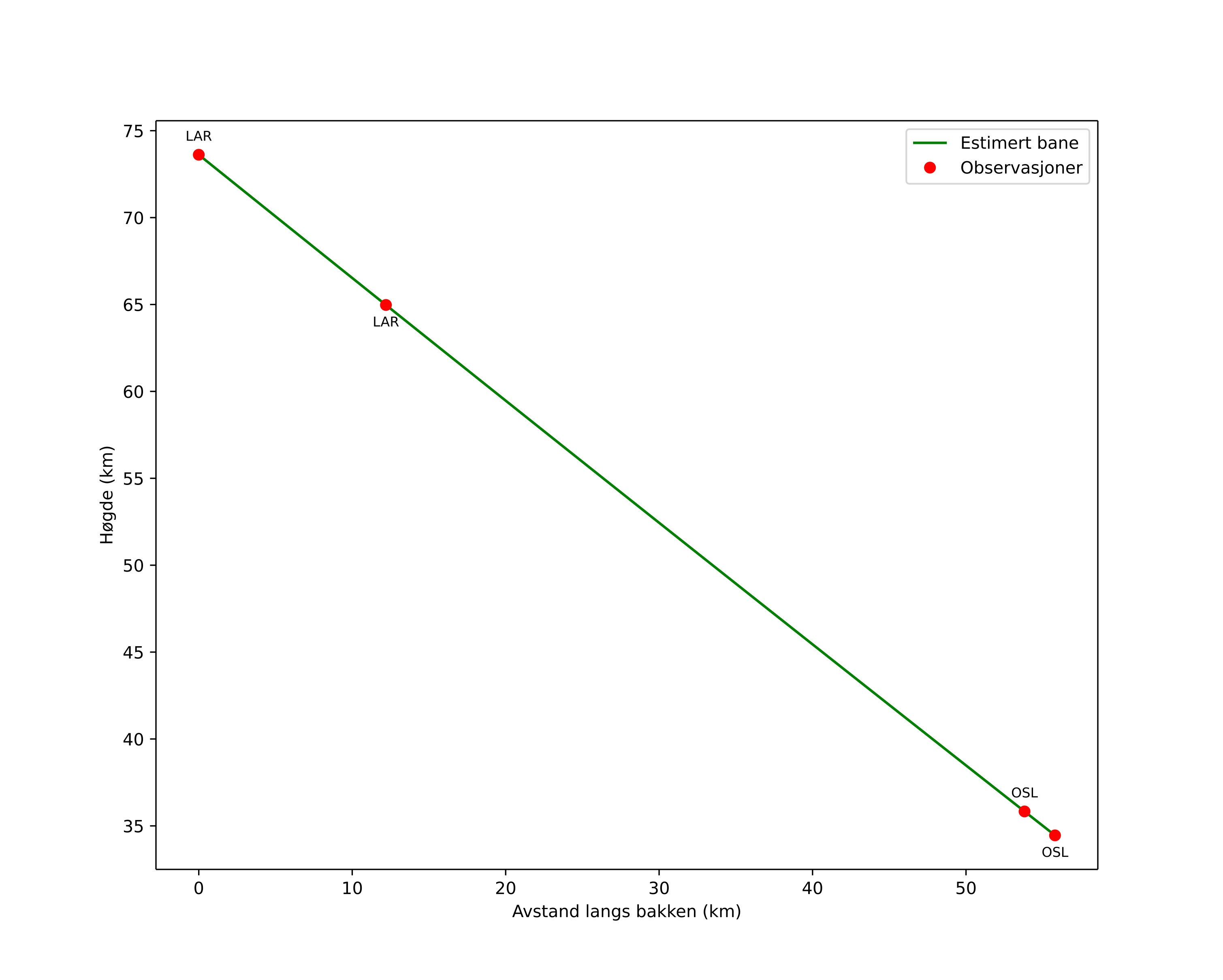
height profile
wind profile
Meteorens atmosfæriske bane:
Starthøgde: 73,6 km
Slutthøgde: 34,5 km
Startposisjon: 59,502N 10,393E
Sluttposisjon: 59,544N 9,408E
Retning: 275,2°
Fallvinkel: 35,0°
Inngangshastighet: 20,0 km/s
Radiantens rektascensjon: 09:24 (141,1°)
Radiantens deklinasjon: 22,9°
Meteorsverm: sporadisk
Meteoroidens baneelement:
Perihelavstand: 0,129 AU
Eksentrisitet: 0,771
Inklinasjon: 8,3°
Knutelengde: 238,5°
Perihelargument: 355,5°
Midlere anomali: 202,3°
Epoke: 2025 NOV 21 00:05:24
orbit plot

Ikke-interaktivt plott | Interaktivt plott

position vs time
speed and acceleration

Larvik (LAR) cam6


gnomonic
Videoer
• Gnomonisk
• Gnomonisk med koordinater
• Original
• Original med koordinater
Bilder
• Gnomonisk
• Gnomonisk med koordinater
• Original
• Original med koordinater
Tekstfiler
• Deteksjon
• Observasjon
• Koordinater
• Logg
Lysstyrke

Voksenlia (OSL) cam3


gnomonic
Videoer
• Gnomonisk
• Gnomonisk med koordinater
• Original
• Original med koordinater
Bilder
• Gnomonisk
• Gnomonisk med koordinater
• Original
• Original med koordinater
Tekstfiler
• Deteksjon
• Observasjon
• Koordinater
• Logg
Lysstyrke