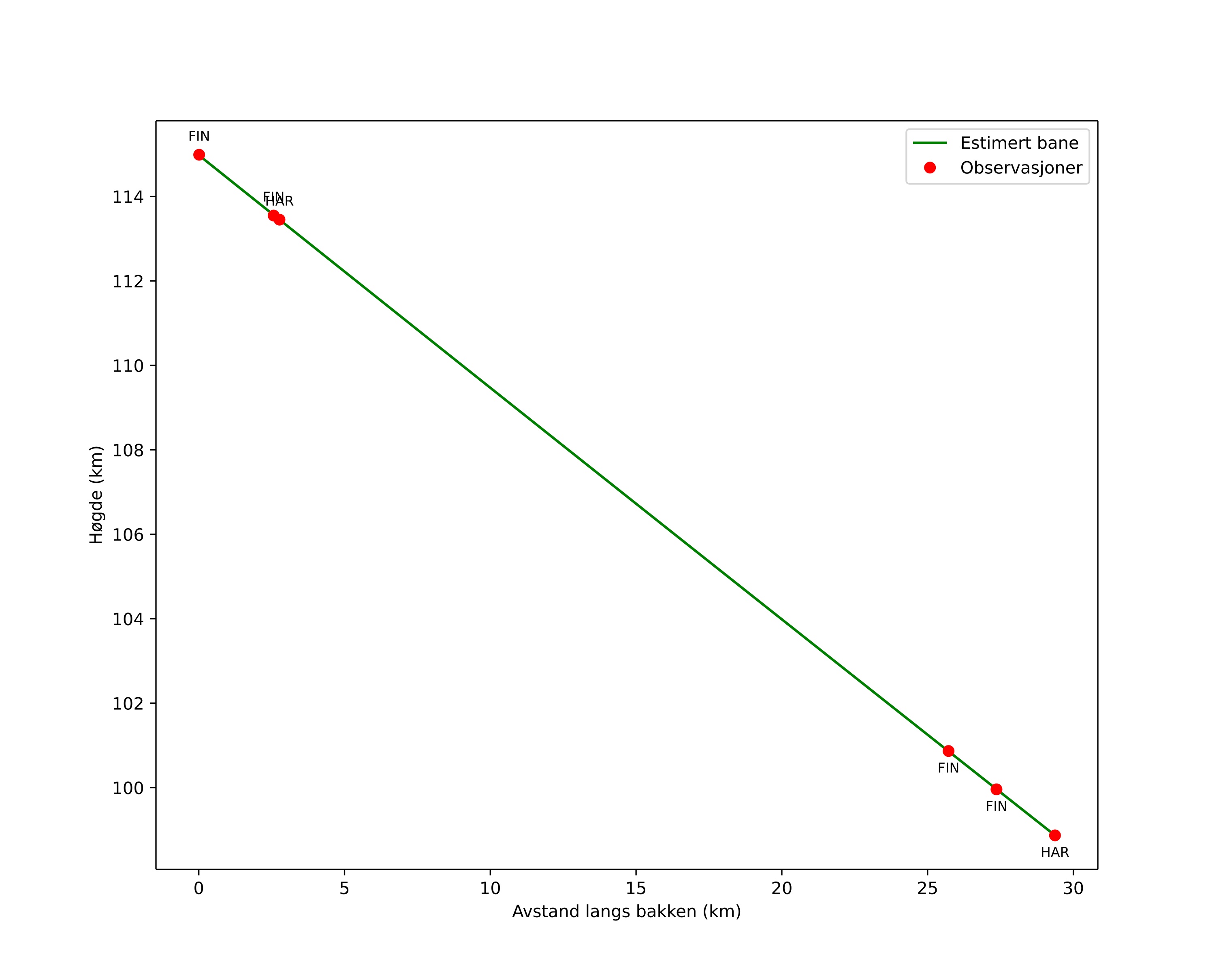
Atmosférická dráha meteoru:
| Počátečnà výška: | 115,0 km |
| Konečná výška: | 98,9 km |
| Počátečnà poloha: | 60,637N 14,733E |
| Konečná poloha: | 60,664N 14,197E |
| Směr: | 276,1° |
| Sklon: | 28,7° |
| VstupnĂ rychlost: | 73,0 km/s |
| Rektascenze radiantu: | 10:11 (152,8°) |
| Deklinace radiantu: | 21,7° |
| MeteorickĂ˝ roj: | Leonidy |
|
Elementy dráhy meteoroidu:
| Vzdálenost v periheliu: | 0,985 AU |
| Excentricita: | 1,020 |
| Sklon dráhy: | 163,2° |
| Délka vzestupného uzlu: | 238,6° |
| Argument perihelia: | 186,1° |
| Střednà anomálie: | -0,0° |
| Epocha: | 2025 NOV 21 00:32:38 |
|