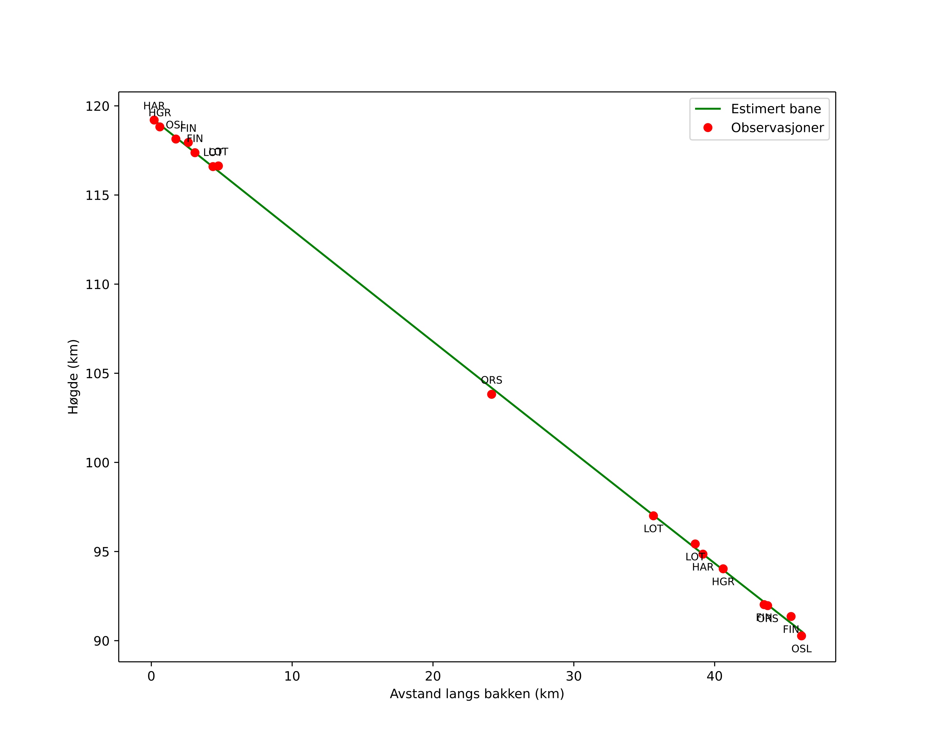
Atmosférická dráha meteoru:
| Počátečnà výška: | 119,3 km |
| Konečná výška: | 90,5 km |
| Počátečnà poloha: | 59,347N 7,499E |
| Konečná poloha: | 59,444N 6,704E |
| Směr: | 283,9° |
| Sklon: | 31,9° |
| VstupnĂ rychlost: | 57,5 km/s |
| Rektascenze radiantu: | 10:20 (155,1°) |
| Deklinace radiantu: | 20,2° |
| MeteorickĂ˝ roj: | Leonidy |
|
Elementy dráhy meteoroidu:
| Vzdálenost v periheliu: | 0,667 AU |
| Excentricita: | 0,195 |
| Sklon dráhy: | 160,5° |
| Délka vzestupného uzlu: | 238,6° |
| Argument perihelia: | 5,1° |
| Střednà anomálie: | 172,6° |
| Epocha: | 2025 NOV 21 01:43:35 |
|