🇳🇴 🇬🇧 🇩🇪 🇨🇿 🇫🇮

Meteor over Finnsnes 2025-11-22 01:22:30 UTC

KML-fil  |  Interaktivt kart

Kartet viser peilingene for meteoren. De lysere linjene viser retningene fra observasjonsstedene for meteorens tilsynekomst, og de mørkere linjene viser hvor den sist kunne sees. Den blå pila viser meteorens synlige ferd.

static map
height profile
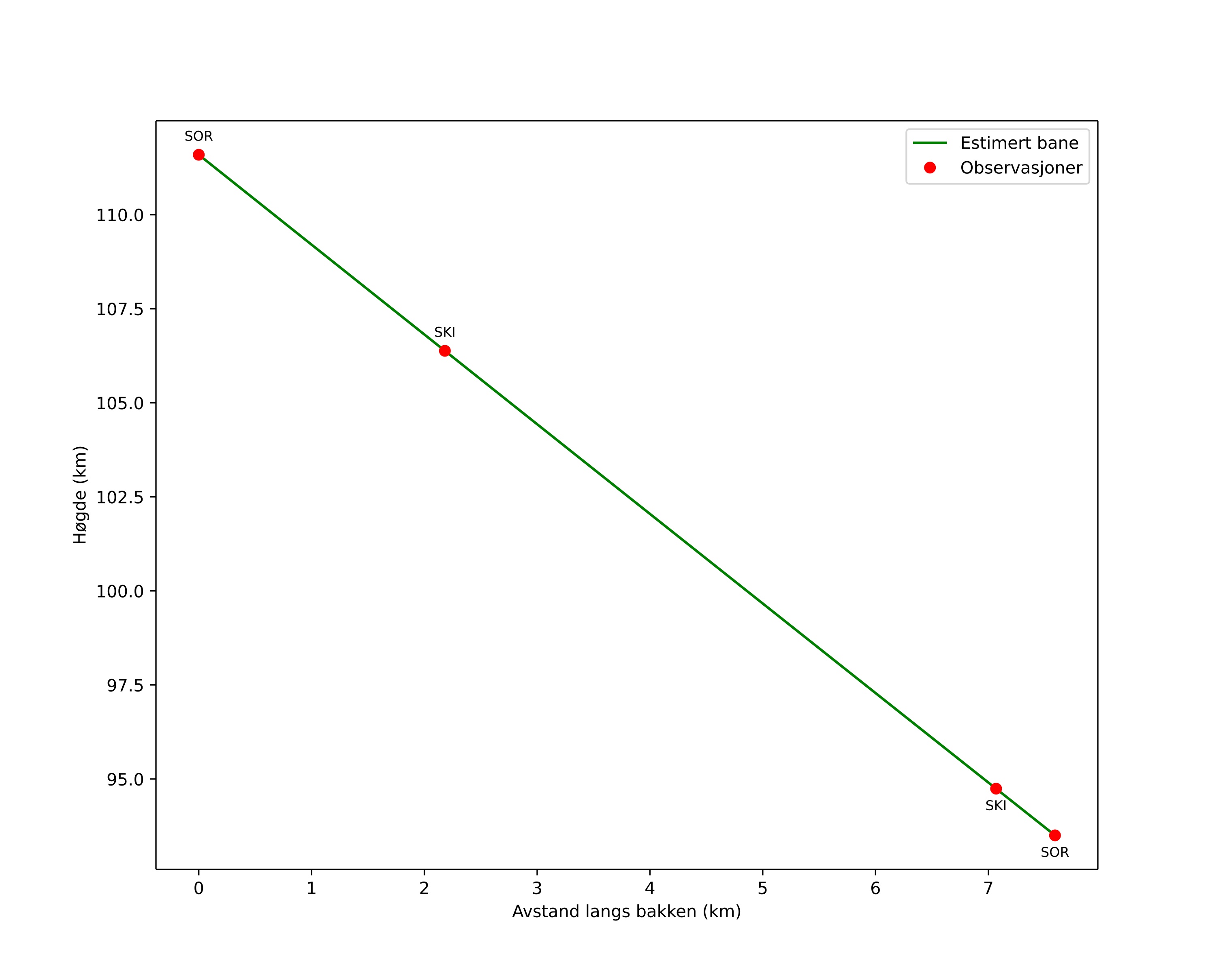
Meteorens atmosfæriske bane:
Starthøgde: 111,6 km
Slutthøgde: 93,5 km
Startposisjon: 70,012N 17,928E
Sluttposisjon: 70,048N 17,757E
Retning: 301,7°
Fallvinkel: 67,2°
Inngangshastighet: 63,1 km/s
Radiantens rektascensjon: 08:48 (132,2°)
Radiantens deklinasjon: 52,8°
Meteorsverm: sporadisk
Meteoroidens baneelement:
Perihelavstand: 0,683 AU
Eksentrisitet: 1,225
Inklinasjon: 112,8°
Knutelengde: 239,6°
Perihelargument: 244,0°
Midlere anomali: -5,9°
Epoke: 2025 NOV 22 01:22:30
orbit plot

Ikke-interaktivt plott | Interaktivt plott

position vs time
speed and acceleration

Skibotn (SKI) cam6


gnomonic
Videoer
• Gnomonisk
• Gnomonisk med koordinater
• Original
• Original med koordinater
Bilder
• Gnomonisk
• Gnomonisk med koordinater
• Original
• Original med koordinater
Tekstfiler
• Deteksjon
• Observasjon
• Koordinater
• Logg
Lysstyrke

Sorreisa (SOR) cam6


gnomonic
Videoer
• Gnomonisk
• Gnomonisk med koordinater
• Original
• Original med koordinater
Bilder
• Gnomonisk
• Gnomonisk med koordinater
• Original
• Original med koordinater
Tekstfiler
• Deteksjon
• Observasjon
• Koordinater
• Logg
Lysstyrke