🇳🇴 🇬🇧 🇩🇪 🇨🇿 🇫🇮

Meteor, poloha: Innbygda 2025-11-22 02:51:17 UTC

Soubor KML  |  Interaktivní mapa

Mapa zobrazuje dráhy meteoru. Světlejší čáry ukazují směry od pozorovacích stanic při objevení se meteoru a tmavší čáry, kde byl naposledy viděn. Modrá šipka značí viditelnou dráhu meteoru.

static map
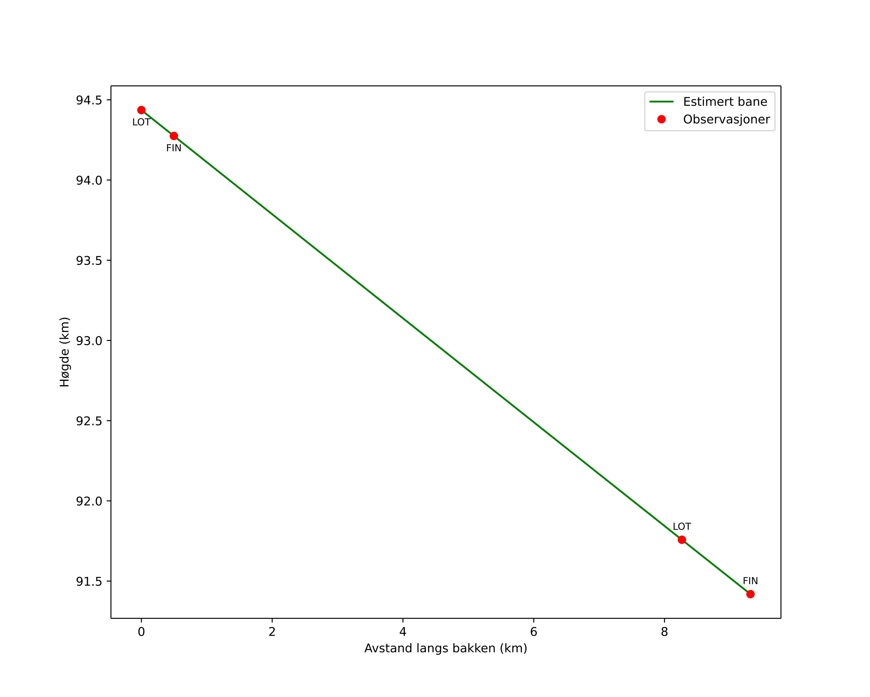
height profile
Atmosférická dráha meteoru:
Počáteční výška: 94,4 km
Konečná výška: 91,4 km
Počáteční poloha: 61,131N 12,890E
Konečná poloha: 61,156N 12,725E
Směr: 287,4°
Sklon: 17,9°
position vs time
speed and acceleration