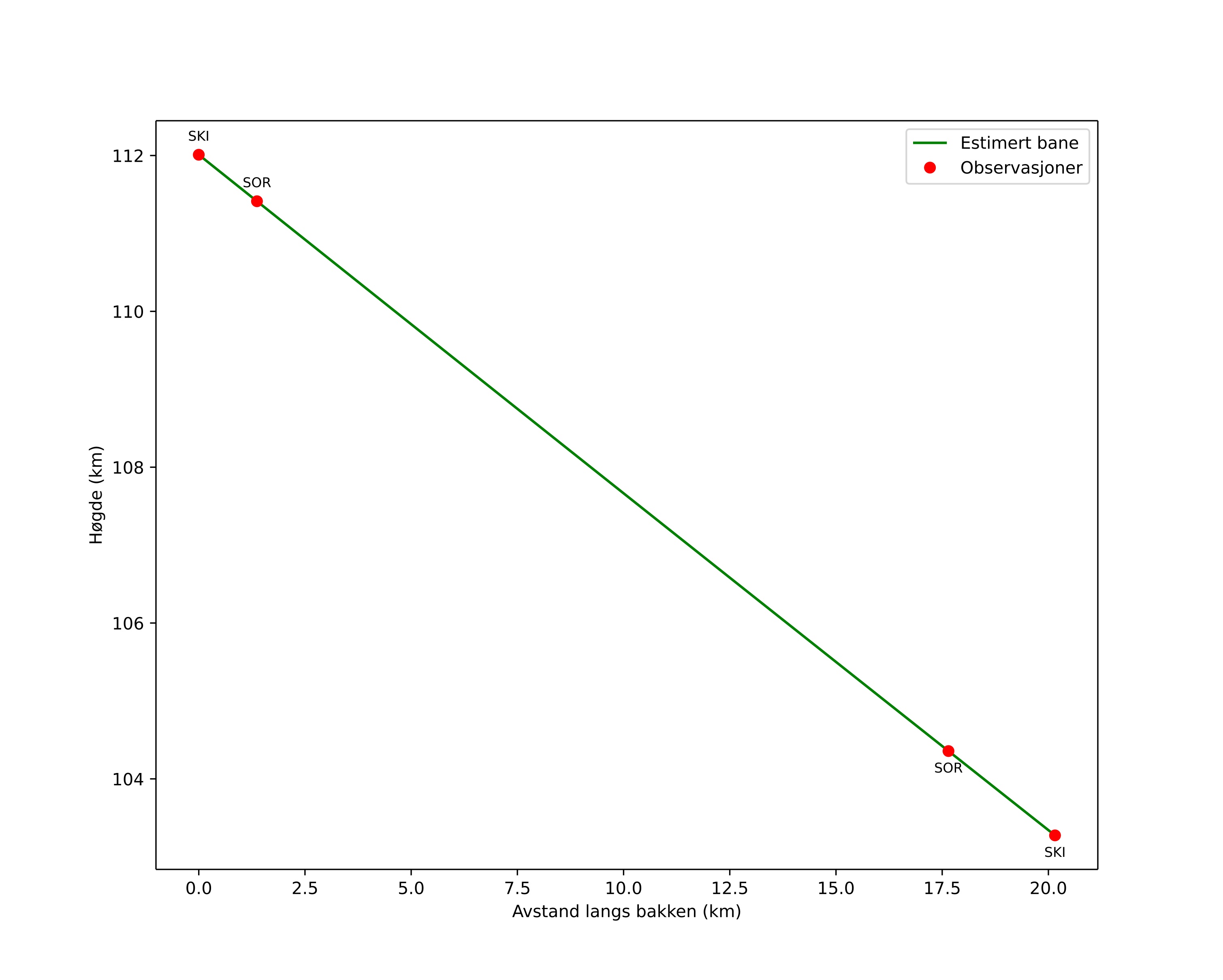
Atmosférická dráha meteoru:
| Počátečnà výška: | 112,0 km |
| Konečná výška: | 103,3 km |
| Počátečnà poloha: | 69,768N 15,643E |
| Konečná poloha: | 69,611N 15,905E |
| Směr: | 149,9° |
| Sklon: | 23,3° |
| VstupnĂ rychlost: | 53,9 km/s |
| Rektascenze radiantu: | 11:24 (171,2°) |
| Deklinace radiantu: | 39,6° |
| MeteorickĂ˝ roj: | sporadickĂ˝ |
|
Elementy dráhy meteoroidu:
| Vzdálenost v periheliu: | 0,953 AU |
| Excentricita: | 0,163 |
| Sklon dráhy: | 116,7° |
| Délka vzestupného uzlu: | 240,2° |
| Argument perihelia: | 138,8° |
| Střednà anomálie: | 30,0° |
| Epocha: | 2025 NOV 22 15:47:46 |
|