🇳🇴 🇬🇧 🇩🇪 🇨🇿 🇫🇮

Meteor, poloha: Tromsø 2025-11-22 16:50:45 UTC

Soubor KML  |  InteraktivnĂ­ mapa

Mapa zobrazuje dráhy meteoru. Světlejší čáry ukazují směry od pozorovacích stanic při objevení se meteoru a tmavší čáry, kde byl naposledy viděn. Modrá šipka značí viditelnou dráhu meteoru.

static map
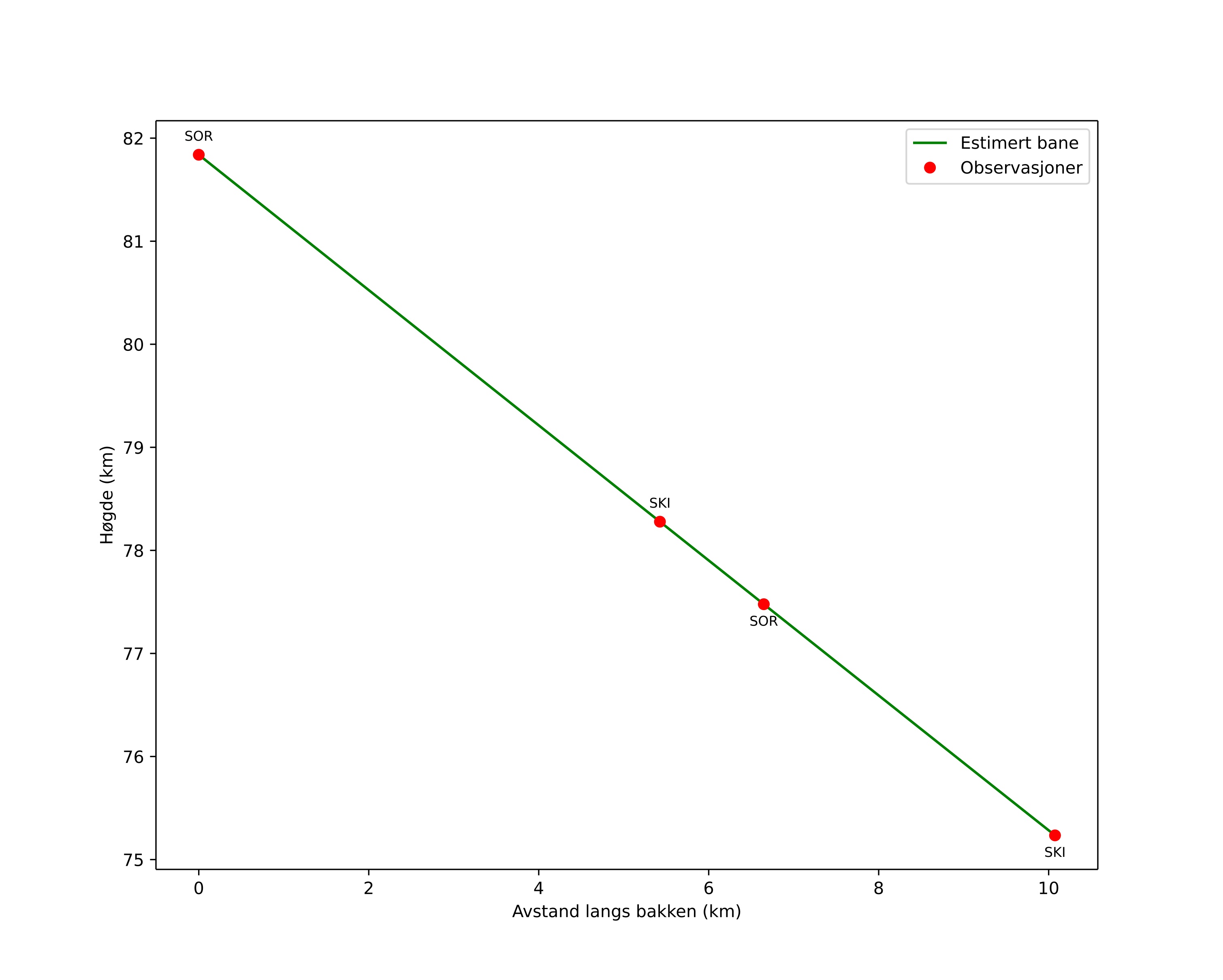
height profile
Atmosférická dráha meteoru:
Počáteční výška: 81,8 km
Konečná výška: 75,2 km
Počáteční poloha: 69,803N 18,055E
Konečná poloha: 69,813N 18,316E
Směr: 83,5°
Sklon: 33,2°
VstupnĂ­ rychlost: 20,8 km/s
Rektascenze radiantu: 17:14 (258,6°)
Deklinace radiantu: 23,9°
MeteorickĂ˝ roj: sporadickĂ˝
Elementy dráhy meteoroidu:
Vzdálenost v periheliu: 0,864 AU
Excentricita: 0,616
Sklon dráhy: 21,3°
Délka vzestupného uzlu: 240,3°
Argument perihelia: 132,3°
Střední anomálie: 9,8°
Epocha: 2025 NOV 22 16:50:45
orbit plot

NeinteraktivnĂ­ graf | InteraktivnĂ­ graf

position vs time
speed and acceleration

Skibotn (SKI) cam6


gnomonic
Videa
• Gnomonická
• Gnomonická se souřadnicemi
• Původní
• Původní se souřadnicemi
Obrázky
• Gnomonická
• Gnomonická se souřadnicemi
• Původní
• Původní se souřadnicemi
Textové soubory
• Detekce
• Pozorování
• Souřadnice
• Protokol
Jasnost

Sorreisa (SOR) cam6


gnomonic
Videa
• Gnomonická
• Gnomonická se souřadnicemi
• Původní
• Původní se souřadnicemi
Obrázky
• Gnomonická
• Gnomonická se souřadnicemi
• Původní
• Původní se souřadnicemi
Textové soubory
• Detekce
• Pozorování
• Souřadnice
• Protokol
Jasnost