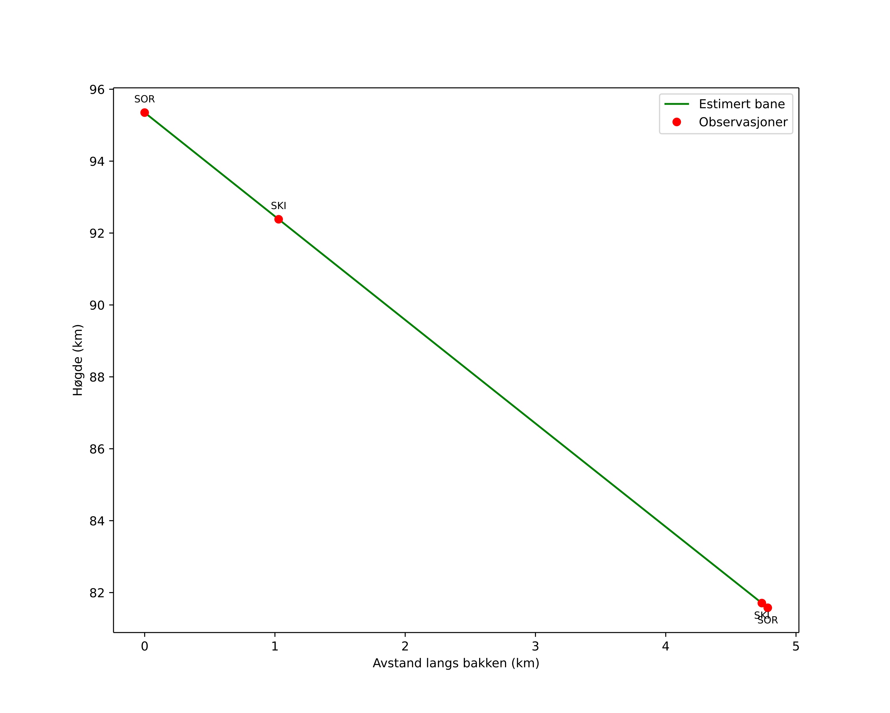
Atmosférická dráha meteoru:
| Počátečnà výška: | 95,3 km |
| Konečná výška: | 81,6 km |
| Počátečnà poloha: | 69,273N 18,055E |
| Konečná poloha: | 69,292N 17,945E |
| Směr: | 295,3° |
| Sklon: | 70,8° |
| VstupnĂ rychlost: | 44,0 km/s |
| Rektascenze radiantu: | 05:20 (80,1°) |
| Deklinace radiantu: | 56,1° |
| MeteorickĂ˝ roj: | sporadickĂ˝ |
|
Elementy dráhy meteoroidu:
| Vzdálenost v periheliu: | 0,428 AU |
| Excentricita: | 1,049 |
| Sklon dráhy: | 54,9° |
| Délka vzestupného uzlu: | 240,5° |
| Argument perihelia: | 276,1° |
| Střednà anomálie: | -1,4° |
| Epocha: | 2025 NOV 22 21:52:10 |
|