🇳🇴 🇬🇧 🇩🇪 🇨🇿 🇫🇮

Meteor over Andenes 2025-11-22 23:53:36 UTC

KML-fil  |  Interaktivt kart

Kartet viser peilingene for meteoren. De lysere linjene viser retningene fra observasjonsstedene for meteorens tilsynekomst, og de mørkere linjene viser hvor den sist kunne sees. Den blå pila viser meteorens synlige ferd.

static map
height profile
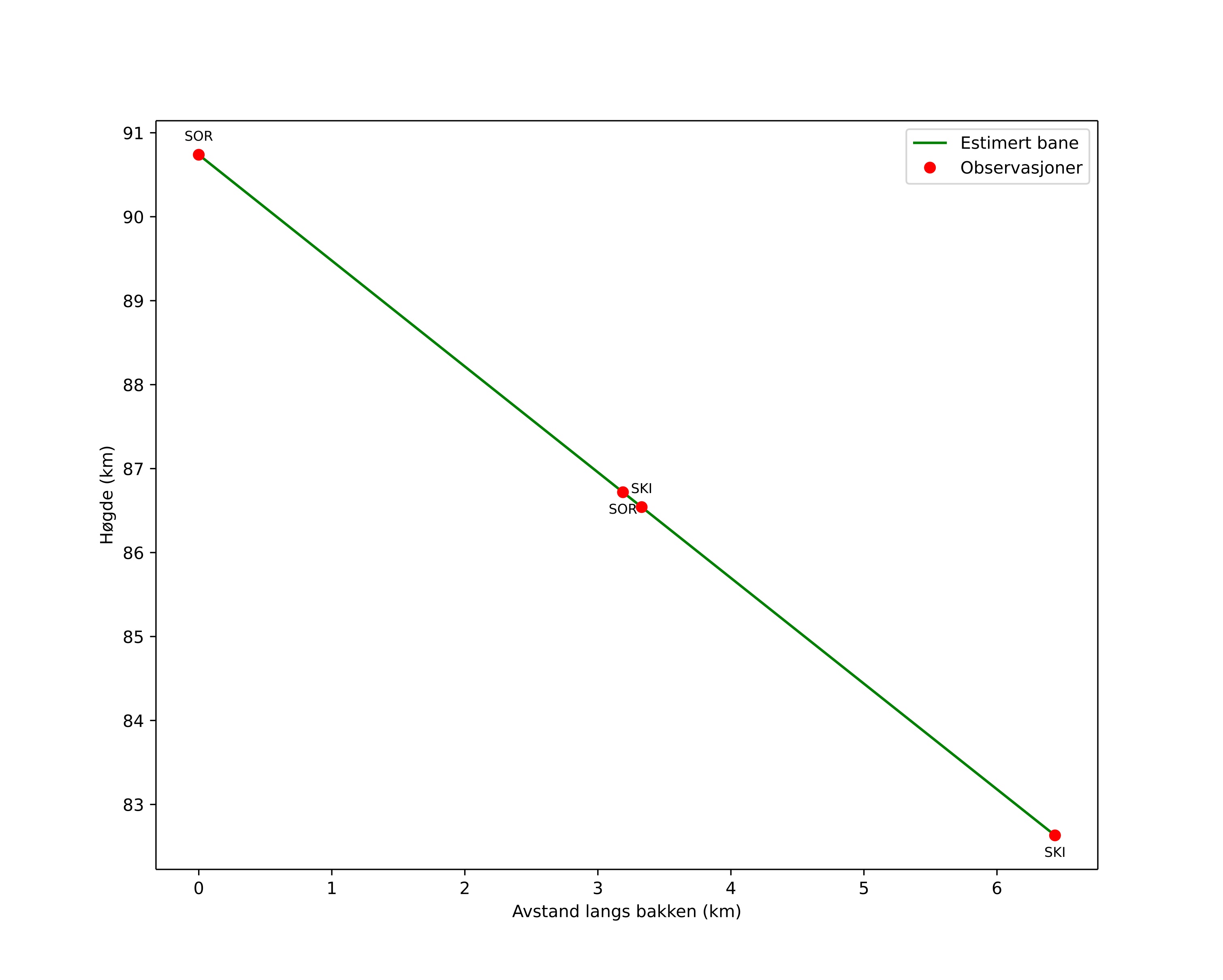
Meteorens atmosfæriske bane:
Starthøgde: 90,7 km
Slutthøgde: 82,6 km
Startposisjon: 69,459N 16,306E
Sluttposisjon: 69,507N 16,212E
Retning: 325,6°
Fallvinkel: 51,5°
Inngangshastighet: 21,2 km/s
Radiantens rektascensjon: 06:46 (101,7°)
Radiantens deklinasjon: 30,6°
Meteorsverm: sporadisk
Meteoroidens baneelement:
Perihelavstand: 0,235 AU
Eksentrisitet: 0,671
Inklinasjon: 7,2°
Knutelengde: 240,6°
Perihelargument: 333,7°
Midlere anomali: 267,3°
Epoke: 2025 NOV 22 23:53:36
orbit plot

Ikke-interaktivt plott | Interaktivt plott

position vs time
speed and acceleration

Skibotn (SKI) cam5


gnomonic
Videoer
• Gnomonisk
• Gnomonisk med koordinater
• Original
• Original med koordinater
Bilder
• Gnomonisk
• Gnomonisk med koordinater
• Original
• Original med koordinater
Tekstfiler
• Deteksjon
• Observasjon
• Koordinater
• Logg
Lysstyrke

Sorreisa (SOR) cam6


gnomonic
Videoer
• Gnomonisk
• Gnomonisk med koordinater
• Original
• Original med koordinater
Bilder
• Gnomonisk
• Gnomonisk med koordinater
• Original
• Original med koordinater
Tekstfiler
• Deteksjon
• Observasjon
• Koordinater
• Logg
Lysstyrke