🇳🇴 🇬🇧 🇩🇪 🇨🇿 🇫🇮

Meteor over Sørreisa 2025-11-23 01:41:10 UTC

KML-fil  |  Interaktivt kart

Kartet viser peilingene for meteoren. De lysere linjene viser retningene fra observasjonsstedene for meteorens tilsynekomst, og de mørkere linjene viser hvor den sist kunne sees. Den blå pila viser meteorens synlige ferd.

static map
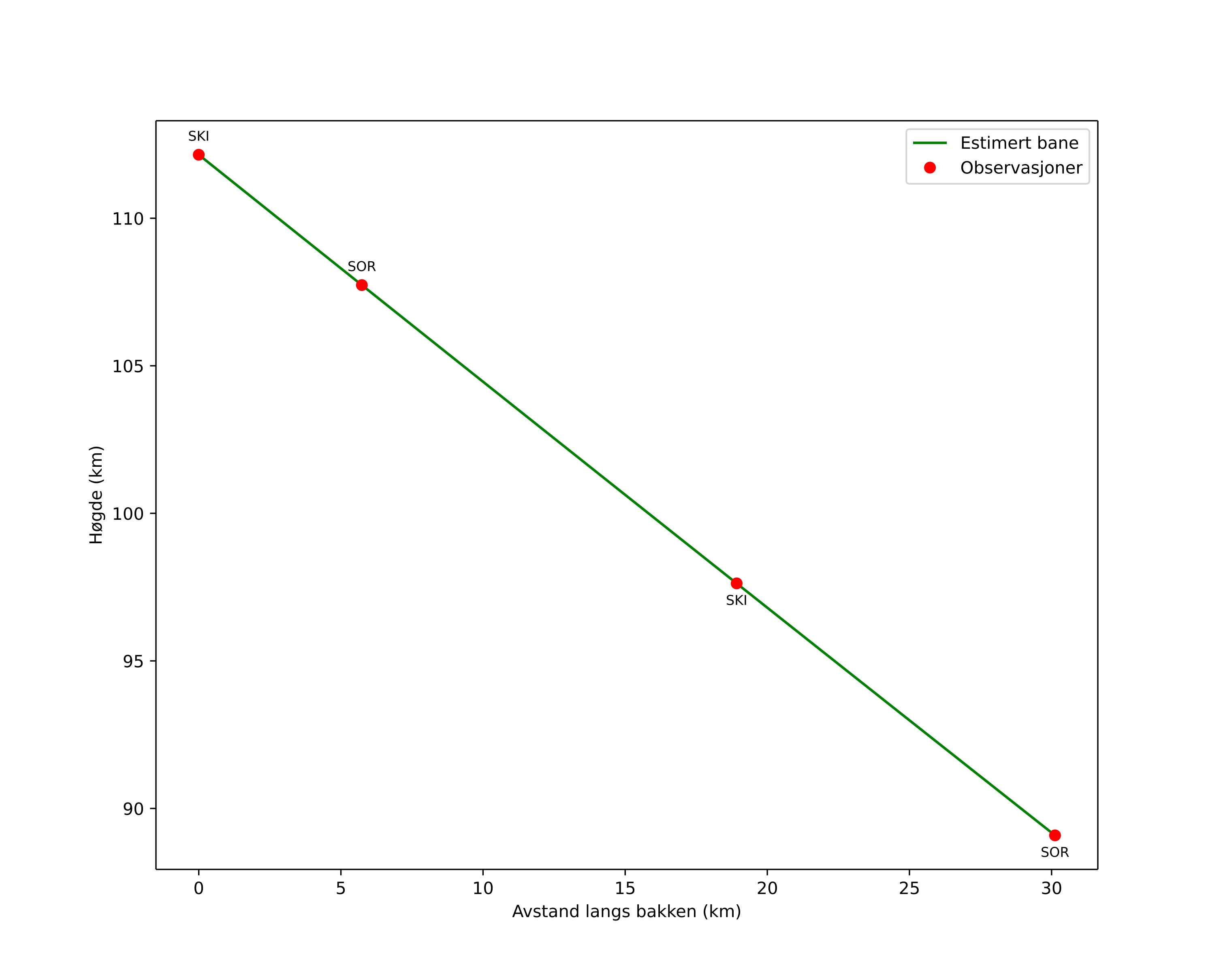
height profile
Meteorens atmosfæriske bane:
Starthøgde: 112,2 km
Slutthøgde: 89,1 km
Startposisjon: 69,145N 18,793E
Sluttposisjon: 69,271N 18,118E
Retning: 298,2°
Fallvinkel: 37,5°
Inngangshastighet: 73,0 km/s
Radiantens rektascensjon: 10:27 (156,9°)
Radiantens deklinasjon: 25,6°
Meteorsverm: Leonidene
Meteoroidens baneelement:
Perihelavstand: 0,985 AU
Eksentrisitet: 1,116
Inklinasjon: 155,0°
Knutelengde: 240,7°
Perihelargument: 185,7°
Midlere anomali: -0,2°
Epoke: 2025 NOV 23 01:41:10
orbit plot

Ikke-interaktivt plott | Interaktivt plott

position vs time
speed and acceleration

Skibotn (SKI) cam7


gnomonic
Videoer
• Gnomonisk
• Gnomonisk med koordinater
• Original
• Original med koordinater
Bilder
• Gnomonisk
• Gnomonisk med koordinater
• Original
• Original med koordinater
Tekstfiler
• Deteksjon
• Observasjon
• Koordinater
• Logg
Lysstyrke

Sorreisa (SOR) cam6


gnomonic
Videoer
• Gnomonisk
• Gnomonisk med koordinater
• Original
• Original med koordinater
Bilder
• Gnomonisk
• Gnomonisk med koordinater
• Original
• Original med koordinater
Tekstfiler
• Deteksjon
• Observasjon
• Koordinater
• Logg
Lysstyrke