Atmosférická dráha meteoru:
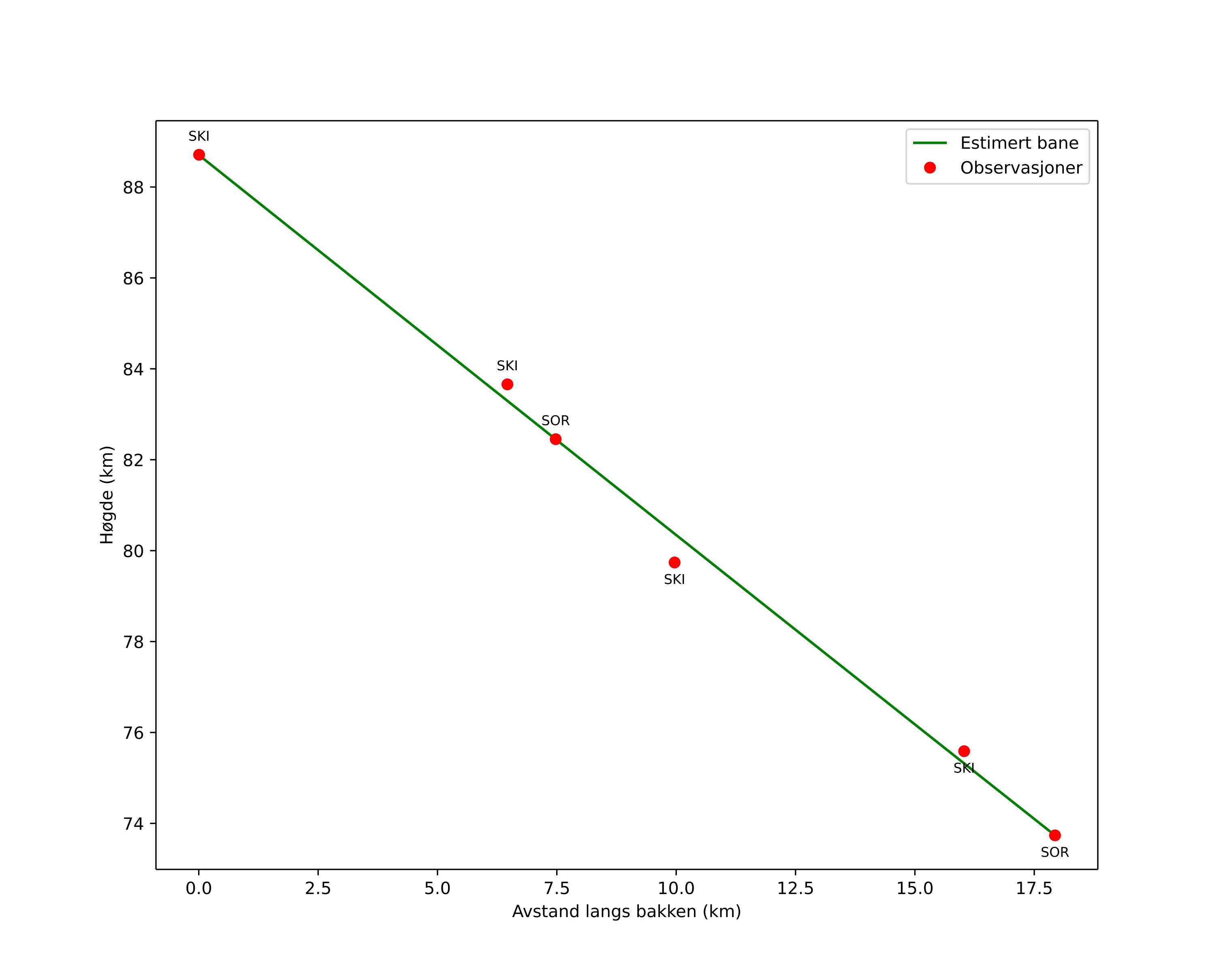
| Počátečnà výška: | 88,7 km |
| Konečná výška: | 73,7 km |
| Počátečnà poloha: | 68,840N 19,152E |
| Konečná poloha: | 68,960N 18,851E |
| Směr: | 318,0° |
| Sklon: | 39,9° |
| VstupnĂ rychlost: | 29,4 km/s |
| Rektascenze radiantu: | 04:39 (69,8°) |
| Deklinace radiantu: | 21,1° |
| MeteorickĂ˝ roj: | SevernĂ Tauridy |
|
Elementy dráhy meteoroidu:
| Vzdálenost v periheliu: | 0,396 AU |
| Excentricita: | 0,817 |
| Sklon dráhy: | 1,1° |
| Délka vzestupného uzlu: | 61,6° |
| Argument perihelia: | 109,2° |
| Střednà anomálie: | 346,7° |
| Epocha: | 2025 NOV 23 20:55:21 |
|